干货 | 深度学习在文本分类中的应用

1,051 阅读16分钟

作者:llhthinker 个人博客:http://www.cnblogs.com/llhthinker/

1 文本分类任务介绍

文本分类是自然语言处理的一个基本任务,试图推断出给定的文本(句子、文档等)的标签或标签集合。

文本分类的应用非常广泛。如:

垃圾邮件分类:二分类问题,判断邮件是否为垃圾邮件

情感分析

二分类问题,判断文本情感是积极(positive)还是消极(negative)

多分类问题,判断文本情感属于{非常消极,消极,中立,积极,非常积极}中的哪一类

新闻主题分类:判断新闻属于哪个类别,如财经、体育、娱乐等

自动问答系统中的问句分类

社区问答系统中的问题分类:多标签分类,如知乎看山杯

更多应用:

让AI当法官: 基于案件事实描述文本的罚金等级分类(多分类)和法条分类(多标签分类)。

判断新闻是否为机器人所写: 二分类

......

不同类型的文本分类往往有不同的评价指标,具体如下:

二分类:accuracy,precision,recall,f1-score,...

多分类: Micro-Averaged-F1, Macro-Averaged-F1, ...

多标签分类:Jaccard相似系数, ...

2 传统机器学习方法

传统的机器学习方法主要利用自然语言处理中的n-gram概念对文本进行特征提取,并且使用TFIDF对n-gram特征权重进行调整,然后将提取到的文本特征输入到Logistics回归、SVM等分类器中进行训练。但是,上述的特征提取方法存在数据稀疏和维度爆炸等问题,这对分类器来说是灾难性的,并且使得训练的模型泛化能力有限。因此,往往需要采取一些策略进行降维:

人工降维:停用词过滤,低频n-gram过滤等

自动降维:LDA等

值得指出的是,将深度学习中的word2vec,doc2vec作为文本特征与上文提取的特征进行融合,常常可以提高模型精度。

3 CNN用于文本分类

论文Convolutional Neural Networks for Sentence Classification提出了使用CNN进行句子分类的方法。

3.1 CNN模型推导

一个句子是由多个词拼接而成的,如果一个句子有n个词,且第i个词表示为xi,词xi通过embedding后表示为k维的向量,即xi∈ℜk,则一个句子x1:n为n∗k的矩阵,可以形式化如下:

3.2 优化CNN模型

  • 随机初始化 (CNN-rand)
  • 预训练词向量进行初始化,在训练过程中固定 (CNN-static)
  • 预训练词向量进行初始化,在训练过程中进行微调 (CNN-non-static)
  • 多通道(CNN-multichannel):将固定的预训练词向量和微调的词向量分别当作一个通道(channel),卷积操作同时在这两个通道上进行,可以类比于图像RGB三通道。

上图为模型架构示例,在示例中,句长n=9,词向量维度k=6,filter有两种窗口大小(或者说kernel size),每种有2个,因此filter总个数m=4,其中:

一种的窗口大小h=2(红色框),卷积后的向量维度为n−h+1=8

另一种窗口大小h=3(黄色框),卷积后的向量维度为n−h+1=7

Dropout: 对全连接层的输入z向量进行dropout

y=W⋅(z∘r)+b

其中r∈ℜm为masking向量(每个维度值非0即1,可以通过伯努利分布随机生成),和向量z进行元素与元素对应相乘,让r向量值为0的位置对应的z向量中的元素值失效(梯度无法更新)。

L2-norms: 对L2正则化项增加限制:当正则项‖W‖2>s时, 令‖W‖2=s,其中s为超参数。

3.3 一些结论

Multichannel vs. Single Channel Models: 虽然作者一开始认为多通道可以预防过拟合,从而应该表现更高,尤其是在小规模数据集上。但事实是,单通道在一些语料上比多通道更好;

Static vs. Non-static Representations: 在大部分的语料上,CNN-non-static都优于CNN-static,一个解释:预训练词向量可能认为‘good’和‘bad’类似(可能它们有许多类似的上下文),但是对于情感分析任务,good和bad应该要有明显的区分,如果使用CNN-static就无法做调整了;

Dropout可以提高2%–4%性能(performance);

对于不在预训练的word2vec中的词,使用均匀分布U[−a,a]随机初始化,并且调整a使得随机初始化的词向量和预训练的词向量保持相近的方差,可以有微弱提升;

可以尝试其他的词向量预训练语料,如Wikipedia[Collobert et al. (2011)]

Adadelta(Zeiler, 2012)和Adagrad(Duchi et al., 2011)可以得到相近的结果,但是所需epoch更少。

3.4 进一步思考CNN

3.4.1 为什么CNN能够用于文本分类(NLP)?

为什么CNN能够用于文本分类(NLP)?

RNN可以提取全局特征

RCNN(下文说明): RNN和CNN的结合

filter相当于N-gram ?

filter只提取局部特征?全局特征怎么办?可以融合吗?

3.4.2 超参数怎么调?

论文A Sensitivity Analysis of (and Practitioners' Guide to) Convolutional Neural Networks for Sentence Classification提供了一些策略。

用什么样的词向量

使用预训练词向量比随机初始化的效果要好

采取微调策略(non-static)的效果比固定词向量(static)的效果要好

无法确定用哪种预训练词向量(Google word2vec / GloVe representations)更好,不同的任务结果不同,应该对于你当前的任务进行实验;

filter窗口大小、数量

在实践中,100到600是一个比较合理的搜索空间。

每次使用一种类型的filter进行实验,表明filter的窗口大小设置在1到10之间是一个比较合理的选择。

首先在一种类型的filter大小上执行搜索,以找到当前数据集的“最佳”大小,然后探索这个最佳大小附近的多种filter大小的组合。

每种窗口类型的filter对应的“最好”的filter个数(feature map数量)取决于具体数据集;

但是,可以看出,当feature map数量超过600时,performance提高有限,甚至会损害performance,这可能是过多的feature map数量导致过拟合了;

激活函数 (tanh, relu, ...)

Sigmoid, Cube, and tanh cube相较于Relu和Tanh的激活函数,表现很糟糕;

tanh比sigmoid好,这可能是由于tanh具有zero centering property(过原点);

与Sigmoid相比,ReLU具有非饱和形式(a non-saturating form)的优点,并能够加速SGD的收敛。

对于某些数据集,线性变换(Iden,即不使用非线性激活函数)足够捕获词嵌入与输出标签之间的相关性。(但是如果有多个隐藏层,相较于非线性激活函数,Iden就不太适合了,因为完全用线性激活函数,即使有多个隐藏层,组合后整个模型还是线性的,表达能力可能不足,无法捕获足够信息);

因此,建议首先考虑ReLU和tanh,也可以尝试Iden

池化策略:最大池化就是最好的吗

对于句子分类任务,1-max pooling往往比其他池化策略要好;

这可能是因为上下文的具体位置对于预测Label可能并不是很重要,而句子某个具体的n-gram(1-max pooling后filter提取出来的的特征)可能更可以刻画整个句子的某些含义,对于预测label更有意义;

(但是在其他任务如释义识别,k-max pooling可能更好。)

正则化

0.1到0.5之间的非零dropout rates能够提高一些performance(尽管提升幅度很小),具体的最佳设置取决于具体数据集;

对l2 norm加上一个约束往往不会提高performance(除了Opi数据集);

当feature map的数量大于100时,可能导致过拟合,影响performance,而dropout将减轻这种影响;

在卷积层上进行dropout帮助很小,而且较大的dropout rate对performance有坏的影响。

3.5 字符级别的CNN用于文本分类

论文Character-level convolutional networks for text classification将文本看成字符级别的序列,使用字符级别(Character-level)的CNN进行文本分类。

3.5.1 字符级CNN的模型设计

首先需要对字符进行数字化(quantization)。具体如下:

定义字母表(Alphabet):大小为m (对于英文m=70,如下图,之后会考虑将大小写字母都包含在内作为对比)

字符数字化(编码): "one-hot"编码

序列(文本)长度:l0 (定值)

然后论文设计了两种类型的卷积网络:Large和Small(作为对照实验)

它们都有9层,其中6层为卷积层(convolutional layer);3层为全连接层(fully-connected layer):

Dropout的概率都为0.5

使用高斯分布(Gaussian distribution)对权重进行初始化:

最后一层卷积层单个filter输出特征长度(the output frame length)为 l6=(l0−96)/27,推

第一层全连接层的输入维度(其中1024和256为filter个数或者说frame/feature size):

Large: l6∗1024

Small: l6∗256

下图为模型的一个图解示例。其中文本长度为10,第一层卷积的kernel size为3(半透明黄色正方形),卷积个数为9(Feature=9),步长为1,因此Length=10-3+1=8,然后进行非重叠的max-pooling(即pooling的stride=size),pooling size为2,因此池化后的Length = 8 / 2 = 4。

3.5.2 字符级CNN的相关总结与思考

字符级CNN是一个有效的方法

数据集的大小可以为选择传统方法还是卷积网络模型提供指导:对于几百上千等小规模数据集,可以优先考虑传统方法,对于百万规模的数据集,字符级CNN开始表现不错。

字符级卷积网络很适用于用户生成数据(user-generated data)(如拼写错误,表情符号等),

没有免费的午餐(There is no free lunch)

中文怎么办

中文中的同音词非常多,如何克服?

如果把中文中的每个字作为一个字符,那么字母表将非常大

是否可以把中文先转为拼音(pinyin)?

论文Character-level Convolutional Network for Text Classification Applied to Chinese Corpus进行了相关实验。

将字符级和词级进行结合是否结果更好

英文如何结合

中文如何结合

3.5.3 使用同义词表进行数据增强

对于深度学习模型,采用适当的数据增强(Data Augmentation)技术可以提高模型的泛化能力。数据增强在计算机视觉领域比较常见,例如对图像进行旋转,适当扭曲,随机增加噪声等操作。对于NLP,最理想的数据增强方法是使用人类复述句子(human rephrases of sentences),但是这比较不现实并且对于大规模语料来说代价昂贵。

一个更自然的选择是使用词语或短语的同义词或同义短语进行替换,从而达到数据增强的目的。具体做法如下:

英文同义词典: from the mytheas component used in LibreOffice1 project. http://www.libreoffice.org/

从给定的文本中抽取出所有可以替换的词,然后随机选择r个进行替换,其中r由一个参数为pp的几何分布(geometric distribution)确定,即P[r]∼pr

给定一个待替换的词,其同义词可能有多个(一个列表),选择第s个的概率也通过另一个几何分布确定,即P[s]∼qs。这样是为了当前词的同义词列表中的距离较远(s较大)的同义词被选的概率更小。

论文实验设置:p=0.5,q=0.5。

4 RNN用于文本分类

策略1:直接使用RNN的最后一个单元输出向量作为文本特征

策略2:使用双向RNN的两个方向的输出向量的连接(concatenate)或均值作为文本特征

策略3:将所有RNN单元的输出向量的均值pooling或者max-pooling作为文本特征

策略4:层次RNN+Attention, Hierarchical Attention Networks

5 RCNN(RNN+CNN)用于文本分类

论文Recurrent Convolutional Neural Networks for Text Classification设计了一种RNN和CNN结合的模型用于文本分类。

5.1 RCNN模型推导

5.1.1 词表示学习

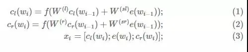
使用双向RNN分别学习当前词wi的左上下文表示cl(wi)和右上下文表示cr(wi),再与当前词自身的表示e(wi)连接,构成卷积层的输入xi。具体如下:

然后将xi作为wi的表示,输入到激活函数为tanh,kernel size为1的卷积层,得到wi的潜在语义向量(latent semantic vector)

将kernel size设置为1是因为xi中已经包含wi左右上下文的信息,无需再使用窗口大于1的filter进行特征提取。但是需要说明的是,在实践中仍然可以同时使用多种kernel size的filter,如[1, 2, 3],可能取得更好的效果,一种可能的解释是窗口大于1的filter强化了wi的左右最近的上下文信息。此外,实践中可以使用更复杂的RNN来捕获wi的上下文信息如LSTM和GRU等。

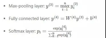
5.1 2 文本表示学习

经过卷积层后,获得了所有词的表示,然后在经过最大池化层和全连接层得到文本的表示,最后通过softmax层进行分类。具体如下:

下图为上述过程的一个图解:

5.2 RCNN相关总结

NN vs. traditional methods: 在该论文的所有实验数据集上,神经网络比传统方法的效果都要好

Convolution-based vs. RecursiveNN: 基于卷积的方法比基于递归神经网络的方法要好

RCNN vs. CFG and C&J: The RCNN可以捕获更长的模式(patterns)

RCNN vs. CNN: 在该论文的所有实验数据集上,RCNN比CNN更好

CNNs使用固定的词窗口(window of words), 实验结果受窗口大小影响

RCNNs使用循环结构捕获广泛的上下文信息

6 一定要CNN/RNN吗

上述的深度学习方法通过引入CNN或RNN进行特征提取,可以达到比较好的效果,但是也存在一些问题,如参数较多导致训练时间过长,超参数较多模型调整麻烦等。下面两篇论文提出了一些简单的模型用于文本分类,并且在简单的模型上采用了一些优化策略。

6.1 深层无序组合方法

论文Deep Unordered Composition Rivals Syntactic Methods for Text Classification提出了NBOW(Neural Bag-of-Words)模型和DAN(Deep Averaging Networks)模型。对比了深层无序组合方法(Deep Unordered Composition)和句法方法(Syntactic Methods)应用在文本分类任务中的优缺点,强调深层无序组合方法的有效性、效率以及灵活性。

6.1.1 Neural Bag-of-Words Models

论文首先提出了一个最简单的无序模型Neural Bag-of-Words Models (NBOW model)。该模型直接将文本中所有词向量的平均值作为文本的表示,然后输入到softmax 层,形式化表示如下:

6.1.2 Considering Syntax for Composition

一些考虑语法的方法:

Recursive neural networks (RecNNs)

可以考虑一些复杂的语言学现象,如否定、转折等 (优点)

实现效果依赖输入序列(文本)的句法树(可能不适合长文本和不太规范的文本)

需要更多的训练时间

Using a convolutional network instead of a RecNN

时间复杂度同样比较大,甚至更大(通过实验结果得出的结论,这取决于filter大小、个数等超参数的设置)

6.1.3 Deep Averaging Networks

Deep Averaging Networks (DAN)是在NBOW model的基础上,通过增加多个隐藏层,增加网络的深度(Deep)。下图为带有两层隐藏层的DAN与RecNN模型的对比。

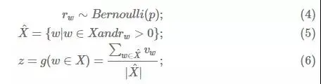
6.1.4 Word Dropout Improves Robustness

针对DAN模型,论文提出一种word dropout策略:在求平均词向量前,随机使得文本中的某些单词(token)失效。形式化表示如下:

Word Dropout可能会使得某些非常重要的token失效。然而,使用word dropout往往确实有提升,这可能是因为,一些对标签预测起到关键性作用的word数量往往小于无关紧要的word数量。例如,对于情感分析任务,中立(neutral)的单词往往是最多的。

Word dropout 同样可以用于其他基于神经网络的方法。

Word Dropout或许起到了类似数据增强(Data Augmentation)的作用?

6.2 fastText

论文Bag of Tricks for Efficient Text Classification提出一个快速进行文本分类的模型和一些trick。

6.2.1 fastText模型架构

fastText模型直接对所有进行embedded的特征取均值,作为文本的特征表示,如下图。

6.2.2 特点

当类别数量较大时,使用Hierachical Softmax

将N-gram融入特征中,并且使用Hashing trick[Weinberger et al.2009]提高效率

7 最新研究

根据github repo: state-of-the-art-result-for-machine-learning-problems ,下面两篇论文提出的模型可以在文本分类取得最优的结果(让AI当法官比赛第一名使用了论文Learning Structured Text Representations中的模型):

Learning Structured Text Representations

Attentive Convolution

论文Multi-Task Label Embedding for Text Classification 认为标签与标签之间有可能有联系,所以不是像之前的深度学习模型把标签看成one-hot vector,而是对每个标签进行embedding学习,以提高文本分类的精度。

References

[1] Le and Mikolov - 2014 - Distributed representations of sentences and documents

[2] Kim - 2014 - Convolutional neural networks for sentence classification

[3] Zhang and Wallace - 2015 - A Sensitivity Analysis of (and Practitioners' Guide to) Convolutional Neural Networks for Sentence Classification

[4] Zhang et al. - 2015 - Character-level convolutional networks for text classification

[5] Lai et al. - 2015 - Recurrent Convolutional Neural Networks for Text Classification

[6] Iyyer et al. - 2015 - Deep unordered composition rivals syntactic methods for Text Classification

[7] Joulin et al. - 2016 - Bag of tricks for efficient text classification

[8] Liu and Lapata - 2017 - Learning Structured Text Representations

[9] Yin and Schütze - 2017 - Attentive Convolution

[10] Zhang et al. - 2017 - Multi-Task Label Embedding for Text Classification