晓查 发自 凹非寺
量子位 报道 | 公众号 QbitAI
今天,Google官方推出了使用TensorFlow.js的人体图像分割工具BodyPix 2.0,对该工具进行了一次重大升级,加入多人支持,并提高了准确率。

BodyPix能将图像分割为属于人的和不属于人的像素,属于人的部分可以进一步分类为二十四个身体部位之一。
BodyPix可以直接在浏览器中运行,开发者只需加入几行代码,即可与电脑或手机的摄像头配合使用。
在使用默认设置的情况下,BodyPix可以在15寸MacBook Pro上以25 fps的速度估计,并渲染人和身体部位的分割。而在iPhone X上,BodyPix能以21 fps的速度进行估计。

BodyPix于今年2月推出,本次2.0版的主要更新有:对多人图像的支持、增加基于ResNet-50的模型、新的API、权重量化以及对不同尺寸图像的支持。
功能演示
在项目的GitHub主页上,TensorFlow给出了BodyPix 2.0软件的一些基本用法演示,还有网页版Demo供用户体验。
人像分割
对于给定具有一个或多个人的图像,人像分割可预测所有人的分割。segmentPerson返回PersonSegmentation,对应于图像中人物分割的对象。

segmentPerson默认不会在不同的个人之间消歧义。因此如果您需要对不同的人进行区分,请使用segmentMultiPerson,不过引入此方法会导致运行速度变慢。
以上结果返回的是一组0和1的数组,用于表示该像素点是否属于人。
身体部位细分
BodyPix的segmentPersonParts方法可以预测所有人的24个身体部位分割。

PartSegmentation会所有合并的人,返回值是每个像素与身体部位相对应的编码。同样的,如果需要区分多人,请使用segmentMultiPersonParts。
身体不同部位对应的编码如下表所示:

把结果输出到图像上
BodyPix还包含其他实用程序功能,可以将输出结果与原始图像合成,得到你所需的渲染图像。
bodyPix.toMask可以给人和背景加上一层蒙版,指定渲染像素的颜色和不透明度。

bodyPix.toColoredPartMask可以给人体部位分割加上一个24色的颜色数组,每个身体部位都对应着数组中的一个颜色。

以上是BodyPix的基础功能的用法。
既然BodyPix可以区分出人体和背景 ,我们就可以用它实现实时的背景虚化,调用的API方法是bodyPix.drawBokehEffect。

利用BodyPix识别出身体不同部位的功能,可以调用bodyPix.blurBodyPart给人脸打上马赛克。

此外还有更多的图像绘制API,在此就不一一列举了。
安装方法
BodyPix使用非常简便,用户可以将其与脚本标签一起嵌入HTML使用:
<html>
<body>
<!-- Load TensorFlow.js -->
<script src="https://cdn.jsdelivr.net/npm/@tensorflow/tfjs@0.13.3"></script>
<!-- Load BodyPix -->
<script src="https://cdn.jsdelivr.net/npm/@tensorflow-models/body-pix"></script>
bodypix.load().then(function(net) {
// BodyPix model loaded
});
</script>
</body>
</html>或者通过npm方式安装:
npm install @tensorflow-models/body-pix然后使用es6模块导入:
import * as bodyPix from '@tensorflow-models/body-pix';
async function loadAndUseBodyPix() {
const net = await bodyPix.load();
// BodyPix model loaded
}如何让BodyPix运行更快
BodyPix带有不同尺寸的模型,具有不同的性能。通过设定模型的大小和输出步长,可以在运行速度和准确性之间进行权衡。
默认情况下,BodyPix加载的是0.75倍的MobileNetV1架构,适合中低端GPU的计算机使用,而导入0.50倍的模型可以用于移动设备。
const net = await bodyPix.load({
architecture: 'MobileNetV1',
outputStride: 16,
multiplier: 0.75,
quantBytes: 2
});倍率的数值越大,神经网络中层的尺寸也越大,准确率更高、推理速度更慢。不同倍率模型的性能对比如下:

对于具有更强大GPU的计算机,官方建议使用ResNet架构,这一部分也是2.0版加入的新功能。
const net = await bodyPix.load({
architecture: 'ResNet50',
outputStride: 32,
quantBytes: 2
});原理简介
BodyPix的核心是执行人体分割的算法,对输入图像的每个像素执行二进制决策,以估计该像素是否属于某个人。
图像通过MobileNet网络馈送,并且使用S型激活函数将输出转换为0到1之间的值。

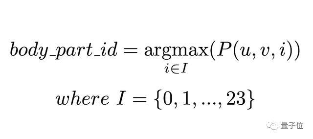
为了估计身体部位的分割,BodyPix使用相同的MobileNet表示,但是这次通过预测额外的24个通道输出张量P来重复上述过程,其中二十四是身体部位的数量。每个通道编码身体某部位是否存在的概率。
输出张量P中有24个通道,因此需要在24个通道中找到最佳部分。在推断期间,对于输出身体部位张量P的每个像素位置(u,v),body_part_id使用以下公式选择属于第i个部位概率最高的像素:

这将产生一个二维图像,每个像素都包含一个整数,该整数表示该像素属于哪个身体部位。通过将值设置为-1,可以把不属于人体的部分剔除掉。

传送门
试玩Demo:
官方博客:
GitHub地址:
— 完 —
量子位 · QbitAI
վ'ᴗ' ի 追踪AI技术和产品新动态
戳右上角「+关注」获取最新资讯↗↗
如果喜欢,请分享or点赞吧~比心❤