关于二叉树的面试题

2,147 阅读5分钟

我之前面试了好几家公司,都会考一些关于二叉树的面试题,比如下面这几个面试题:

  1. 二叉树有哪几种遍历方式
  2. 不用递归如何遍历二叉树
  3. 如何判断二叉树是对称二叉树
  4. 将二叉树左右节点翻转
  5. 实现一个函数接收任意二叉树,求二叉树所有根节点到叶子路径组成的数字之和

前端常考的算法题就是二叉树和排序了,这些好像很多公司都会有一两道这样的题目,大家面试前可以重点看一下这些知识点,这篇文章主要讲解二叉树。

基础知识

了解二叉树之前我们先要知道什么是二叉树和二叉树的组成。

二叉树是每个节点不超过两个。一棵最上面的节点称为根节点,如果一个节点下面连接多个节点,那么该节点称为父节点,它下面的节点称为子节点,一个节点可以有0个或多个子节点,没有任何子节点的节点称为叶子节点

下面代码就是创建二叉树的过程。

function Node(value, left, right) {
  this.value = value;
  this.left = left;
  this.right = right;
}

function BST() {
  this.root = null;
  this.insert = insert;
}

function insert(value) {
  let node = new Node(value, null, null)
  if (this.root == null) {
    // 根节点
    this.root = node;
  } else {
    // 子节点
    let current = this.root;
    let parent;
    while (true) {
      parent = current;
      if (value < current.value) {
        current = current.left;
        if (current == null) {
          parent.left = node;
          break;
        }
      } else {
        current = current.right;
        if(current == null) {
          parent.right = node;
          break;
        }
      }
    }
  }
}

let tree = new BST()

tree.insert(1)
tree.insert(2)
tree.insert(3)
tree.insert(4)
console.log(tree.root)

insert 方法是向二叉树中出入一个节点,我们需要判断节点的位置,分别对比左右节点的大小关系,然后选择性的输入到其中。

实战题目

文章的开头有5道面试题,下面开始做题啦!

问:二叉树有哪几种遍历方式?

答:有三种遍历方式,中序,先序,后序。中序遍历按照节点上的键值,以升序访问二叉树上的所有节点。先序遍历先访问根节点,然后以同样方式访问左子树和右子树。后序遍历先访问叶子节点,从左子树到右子树,再到根节点。

下图是中序遍历的路径图,10->22->30->56->77->81->92(按照升序访问的规则)

中序

// 中序遍历
function inOrder(node) {
  let result = []
  if (!(node == null)) {
    inOrder(node.left)
    result.push(node.value)
    inOrder(node.right)
  }
  return result
}
let tree = new BST()
tree.insert(56)
tree.insert(22)
tree.insert(81)
tree.insert(10)
tree.insert(30)
tree.insert(77)
tree.insert(92)
inOrder(tree.root)

下图是先序遍历的路径图,50->10->5->15->70->60->80(按照先根节点再子节点)

先序

// 先序遍历
function preOrder(node) {
  let result = []
  if (!(node == null)) {
    result.push(node.value)
    preOrder(node.left)
    preOrder(node.right)
  }
  return result
}
let tree = new BST()
tree.insert(50)
tree.insert(10)
tree.insert(70)
tree.insert(5)
tree.insert(15)
tree.insert(60)
tree.insert(80)
preOrder(tree.root)

下图是后序遍历的路径图,3->22->16->37->99->45->23(按照先子节点再根节点)

后序

// 后序遍历
function postOrder(node) {
  let result = []
  if (!(node == null)) {
    postOrder(node.left)
    postOrder(node.right)
    result.push(node.value)
  }
  return result
}
let tree = new BST()
tree.insert(23)
tree.insert(16)
tree.insert(45)
tree.insert(3)
tree.insert(22)
tree.insert(37)
tree.insert(99)
postOrder(tree.root)

问:不用递归如何遍历二叉树?

其实代码中的 insert 方法就是没有使递归而是使用 while 循环进行遍历的,不知道你注意到了没有。下面我再通过使用 while 实现遍历。

使用循环遍历二叉树还必须使用栈进行回溯算法。

// 中序遍历
function inOrder(node) {
  let stack = []
  let result = []
  let parent = node;
  while (parent !== null || stack.length) {
    if (parent !== null) {
      stack.push(parent)
      parent = parent.left
    } else {
      parent = stack.pop()
      result.push(parent.value)
      parent = parent.right
    }
  }
  console.log(result)
}
// 先序遍历
function preOrder(node) {
  let stack = []
  stack.push(node)
  let result = []
  while (stack.length !== 0) {
    let parent = stack.pop()
    if (parent.right !== null) {
      stack.push(parent.right)
    }
    if (parent.left !== null) {
      stack.push(parent.left)
    }
    result.push(parent.value)
  }
  console.log(result)
}
// 后序遍历
function postOrder(node) {
  let stack = []
  stack.push(node)
  let result = []
  let parent = node
  while (stack.length !== 0) {
    parent = stack.pop()
    if (parent.left !== null) {
      stack.push(parent.left)
    }
    if (parent.right !== null) {
      stack.push(parent.right)
    }
    result.unshift(parent.value)
  }
  console.log(result)
}

这里有一篇文章《非递归实现二叉树先序、中序和后序遍历》讲解了代码实现的思路。但是是Java代码写的,哈哈!

如果你对栈数据结构不了解,可以阅读我之前写的一篇文章《关于JS括号匹配的面试题》。

树

总结

先序:根左右, 中序:左根右, 后续:左右根。

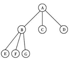
这里在提一句,深度优先和广度优先的感念, “深度优先搜索就是树的先序遍历”,“广度优先搜索就是树的按层遍历”。

树

深度优先,先序遍历 ABEFGCD

广度优先,按层遍历 ABCDEFG

问:如何判断二叉树是对称二叉树

如果一个树的左子树与右子树镜像对称,那么这个树是对称的。

在这里插入图片描述

给定一个二叉树,检查它是否是镜像对称的。

var node1 = {
  value: 1,
  left: {
    value: 2,
    left: {
      value: 3
    },
    right: {
      value: 4
    }
  },
  right: {
    value: 2,
    left: {
      value: 4
    },
    right: {
      value: 3
    }
  }
}

递归

function isSymmetric (root) {
  return isMirror(root, root)
}

function isMirror (t1, t2) {
  if (t1 == null && t2 == null) return true;
  if (t1 == null || t2 == null) return false;
  return (t1.value === t2.value) && isMirror(t1.right, t2.left) && isMirror(t1.left, t2.right)
}

console.log(isSymmetric(node1))

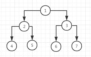
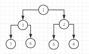
问:将二叉树左右节点翻转

在这里插入图片描述
在这里插入图片描述

原题:二叉树的数据结构如下,需要将二叉树各节点左右翻转

var node1 = {
  value: 1,
  left: {
    value: 2,
    left: {
      value: 4
    },
    right: {
      value: 5
    }
  },
  right: {
    value: 3,
    left: {
      value: 6
    },
    right: {
      value: 7
    }
  }
}

思路:

  1. 先将左右节点交换位置
  2. 再递归子节点
function reverse(node) {
  if (node != null) {
    let temp = node.left;
    node.left = node.right;
    node.right = temp;
    reverse(node.left);
    reverse(node.right);
  }
}

偷偷告诉你,这个题目是滴滴的面试题,感觉还挺难的!哈哈。

5、实现一个函数接收任意二叉树,求二叉树所有根节点到叶子路径组成的数字之和

function getPathSum(root) {
  let total = 0
  function next(node) {
    if (node != undefined) {
      total += node.value
      next(node.left)
      next(node.right)
    }
  }
  next(root)
  return total
}

就是使用先序遍历完成

6、二叉树定义如下,实现函数 getPathSum(node)返回7=(1+2)+(1+3)

var node = {
  value: 1,
  left: {
    value: 2,
    left: null,
    right: null
  },
  right: {
    value: 3,
    left: null,
    right: null
  }
}

按照先序遍历

function getPathSum(root) {
  let total = 0
  let left = []
  let right = []
  function next(node, flag) {
    if (node != undefined) {
      if (flag === 0) {
        left.push(node.value)
        right.push(node.value)
        total = node.value + node.value
      }
      if (flag === 1) {
        left.push(node.value)
        total += node.value
      }
      if (flag === 2) {
        total += node.value
        right.push(node.value)
      }
      next(node.left, 1)
      next(node.right, 2)
    }
  }
  next(root, 0)
  return `${total}=(${left.join('+')})+(${right.join('+')})`
}

这些就是我最近面试的一些题目,大家感觉怎么样?

哪里有问题,欢迎留言指正。