零基础天池新闻推荐初学-02-数据分析

543 阅读8分钟

01 数据分析作用和关注点

主要作用:在于熟悉了解整个数据集的基本情况,包括每个文件里有哪些数据,具体每个文件中的每个字段表示什么实际含义,以及数据集中特征中之间的相似性;

rs的数据分析的主要关注点:

  • 用户本身的基本属性
  • 文章基本属性
  • 用户和文章交互的一些分布
  • 召回策略的选择
  • 考虑特征工程方面做一下准备

02 使用用pandas_profiling来做数据分析

#%% 01 导包

%matplotlib inline
import pandas as pd
import numpy as np

import matplotlib.pyplot as plt
import seaborn as sns
plt.rc('font', family='SimHei', size=13)

import os,gc,re,warnings,sys
warnings.filterwarnings("ignore")

#%% 02 读取数据

path = 'E:\\阿里云开发者-天池比赛\\06_天池新闻APP推荐\\'
save_path = 'E:\\PycharmProjects\\TianChiProject\\00_山枫叶纷飞\\competitions\\006_dw_RecommandNews\\'

#####train
# 训练集用户点击日志
train_click = pd.read_csv(path+'train_click_log.csv')
# 新闻文章新新数据表
item_df = pd.read_csv(path+'articles.csv')
item_df = item_df.rename(columns={'article_id': 'click_article_id'})  #重命名,方便后续match
# 物品隐向量表示表
item_emb_df = pd.read_csv(path+'articles_emb.csv')

#####test
# 测试集用户点击日志
test_click = pd.read_csv(path+'testA_click_log.csv')

#####合并 (数据格式一致)
tt_click = pd.concat([train_click, test_click], axis=0)

#%% 03 数据预处理
dfs = [train_click, test_click, tt_click]
names = ['train_click', 'test_click', 'tt_click']
# 3.1 计算用户点击的时间戳进行逆序排序
# for df in dfs:
#     df['rank'] = df.groupby(['user_id'])['click_timestamp'].rank(ascending=False).astype(int)

# 3.2 计算用户点击文章的次数, 并添加新的一列count
# for df, name in zip(dfs, names):
#     df['count'] = df.groupby(['user_id'])['click_timestamp'].transform('count')

#%% 04 用pandas_profiling生成三分数据报告
import pandas_profiling
for df, name in zip(dfs, names):
    df = df.merge(item_df, how='left', on=['click_article_id'])
    pfr = pandas_profiling.ProfileReport(df)
    pfr.to_file(save_path + "profiling\\{}_pandas_profiling.html".format(name))

03 数据浏览(以train+test合并后数据为例,train和test的数据格式基本一致)

-1. 由分别的Profiling Report可以得出:训练集的用户ID由0 ~ 199999,而测试集A的用户ID由200000 ~ 249999。

  1. 总数据行数为163K
  2. user_id 总数为250K,训练集200K,测试集50K
  3. 点击时间click_timestamp ,分布均匀,几乎没有重复值 (受pandas-profiling的分桶bin影响看着有些起伏)
  4. 点击环境click_environment 从点击环境click_environment来看,仅有2499 次(占0.2%)点击环境为1;仅有38948次(占2.4%)点击环境为2;剩余(占97.5%)点击环境为4。
  5. 点击设备组click_deviceGroup 可以看出设备1和设备3的占比分别为62.2%和34.2%。

04 用pandas_profiling生成三份数据报告

import pandas_profiling
for df, name in zip(dfs, names):
    df = df.merge(item_df, how='left', on=['click_article_id'])
    pfr = pandas_profiling.ProfileReport(df)
    pfr.to_file(save_path + "profiling\\{}_pandas_profiling.html".format(name))

05 数据分析(以train+test合并后数据为例,train和test的数据格式基本一致)

为后续构建新的特征做准备。

5.1 用户重复点击

user_click_count = tt_click.groupby(['user_id', 'click_article_id'])['click_timestamp'].agg({'count'}).reset_index()
# print(user_click_count)
user_click_count.sort_values(by='count', inplace=True)
print('打印前10个和后10个:')
print(user_click_count[:10])
print(user_click_count[-10:])

#%% 5.1.2 分析重复的数量类型

user_click_count['count'].unique()

#%% 5.1.3 用户点击新闻次数分布

user_click_count.loc[:,'count'].value_counts()
"""
可以看出:有1605541(约占99.2%)的用户未重复阅读过文章,仅有极少数用户重复点击过某篇文章。 
这个也可以单独制作成特征.
"""

5.2 用户点击环境变化分析

这个看着没啥意义,跳过

5.3 用户点击新闻数量的分布

tt_ucc = tt_click.groupby('user_id')['click_article_id'].count()
user_click_item_count = sorted(tt_ucc, reverse=True)
plt.plot(user_click_item_count)

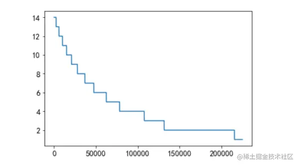
5.4 取前50看看

plt.plot(user_click_item_count[0:50])
"""
点击次数排前50的用户的点击次数都在100次以上。思路:我们可以定义点击次数大于等于100次的用户为活跃用户,这是一种简单的处理思路, 判断用户活跃度,更加全面的是再结合上点击时间,后面我们会基于点击次数和点击时间两个方面来判断用户活跃度。
"""

5.5 由上上面的图得出, 点击次数排名在25000之后.点击次数就变得特别低,具体分析; 可以看出点击次数小于等于两次的用户非常的多,这些用户可以认为是非活跃用户

plt.plot(user_click_item_count[25000:])

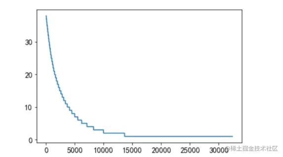
5.6 新闻点击次数分析:新闻的冷热门分类

item_click_count = sorted(tt_click.groupby('click_article_id')['user_id'].count(), reverse=True)
plt.plot(item_click_count)

5.6.2 取热门新闻前100看看

plt.plot(item_click_count[:100])
"""
可以看出点击次数最多的前100篇新闻,点击次数大于1000次;
点击次数最多的前20篇新闻,点击次数大于2500。思路:可以定义这些新闻为热门新闻, 这个也是简单的处理方式,后面我们也是根据点击次数和时间进行文章热度的一个划分。
"""

5.6.3 取冷门新闻热度排名3000以后的新闻看看

plt.plot(item_click_count[3000:])
"""
可以发现很多新闻只被点击过几次。
思路:可以定义这些新闻是冷门新闻。
"""

5.7 新闻共现频次:两篇新闻连续出现的次数

tmp = tt_click.sort_values('click_timestamp')
tmp['next_item'] = tmp.groupby(['user_id'])['click_article_id'].transform(lambda x:x.shift(-1))
union_item = tmp.groupby(['click_article_id','next_item'])['click_timestamp'].agg({'count'}).reset_index().sort_values('count', ascending=False)
union_item[['count']].describe()

tmp.sort_values('排序一下,发现shift是反转传播方向')

5.7.2 新闻共现频次 画个图 直观地看一看

x = union_item['click_article_id']
y = union_item['count']
plt.scatter(x, y)

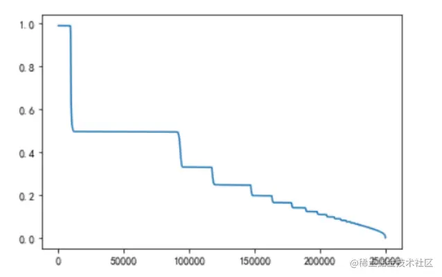
5.7.3 至少共现一次的统计

plt.plot(union_item['count'].values[40000:])
"""
由图可知:大概有70000+个pair至少共现一次。
"""

5.8 新闻文章类型的分类信息

#不同类型的新闻出现的次数
print(tt_click.columns)
plt.plot(tt_click['category_id'].value_counts().values)

#%% 5.9. 用户点击的新闻类型的偏好(兴趣的广泛程度)
tt_click.groupby('user_id')['category_id'].nunique().reset_index().describe()
plt.plot(sorted(tt_click.groupby('user_id')['category_id'].nunique(), reverse=True))
"""
从上图中可以看出有一小部分用户阅读类型是极其广泛的,大部分人都处在20个新闻类型以下。
"""

5.10. 用户查看文章的长度的分布

"""
通过统计不同用户点击新闻的平均字数,这个可以反映用户是对长文更感兴趣还是对短文更感兴趣。
结论:
从上图中可以发现有一小部分人看的文章平均词数非常高,也有一小部分人看的平均文章次数非常低。

大多数人偏好于阅读字数在200-400字之间的新闻。

"""
plt.plot(sorted(tt_click.groupby('user_id')['words_count'].mean(), reverse=True) )
#挑出大多数人的区间仔细看看
plt.plot(sorted(tt_click.groupby('user_id')['words_count'].mean(), reverse=True)[1000:45000])

5.11. 用户点击新闻的时间分析

#为了更好的可视化,这里把时间进行归一化操作
from sklearn.preprocessing import MinMaxScaler
mm = MinMaxScaler()
tt_click['click_timestamp'] = mm.fit_transform(tt_click[['click_timestamp']])
tt_click['created_at_ts'] = mm.fit_transform(tt_click[['created_at_ts']])

user_click_merge = tt_click.sort_values('click_timestamp')
def mean_diff_time_func(df, col):
    df = pd.DataFrame(df, columns={col})
    df['time_shift1'] = df[col].shift(1).fillna(0)
    df['diff_time'] = abs(df[col] - df['time_shift1'])
    return df['diff_time'].mean()
    ```
# 点击时间差的平均值
``` python
mean_diff_click_time = user_click_merge.groupby('user_id')['click_timestamp', 'created_at_ts'].apply(lambda x: mean_diff_time_func(x, 'click_timestamp'))
plt.plot(sorted(mean_diff_click_time.values, reverse=True))

06 总结 (复制粘贴)

通过数据分析的过程, 我们目前可以得到以下几点重要的信息, 这个对于我们进行后面的特征制作和分析非常有帮助:

  1. 训练集和测试集的用户id没有重复,也就是测试集里面的用户没有模型是没有见过的
  2. 训练集中用户最少的点击文章数是2, 而测试集里面用户最少的点击文章数是1
  3. 用户对于文章存在重复点击的情况, 但这个都存在于训练集里面
  4. 同一用户的点击环境存在不唯一的情况,后面做这部分特征的时候可以采用统计特征 (这点在自己尝试做分析的时候没有考虑到,给忽略了)
  5. 用户点击文章的次数有很大的区分度,后面可以根据这个制作衡量用户活跃度的特征
  6. 文章被用户点击的次数也有很大的区分度,后面可以根据这个制作衡量文章热度的特征
  7. 用户看的新闻,相关性是比较强的,所以往往我们判断用户是否对某篇文章感兴趣的时候, 在很大程度上会和他历史点击过的文章有关
  8. 用户点击的文章字数有比较大的区别, 这个可以反映用户对于文章字数的区别
  9. 用户点击过的文章主题也有很大的区别, 这个可以反映用户的主题偏好
  10. 不同用户点击文章的时间差也会有所区别, 这个可以反映用户对于文章时效性的偏好

所以根据上面的一些分析,可以更好的帮助我们后面做好特征工程, 充分挖掘数据的隐含信息。

07 pandas语法复习笔记

  • apply(),会将待处理的对象拆分成多个片段,然后对各片段调用传入的函数,最后尝试将各片段组合到一起。
  • transform(),形变、改变,会将一个函数应用到各个分组;举例count()会聚合对应的分组,transform('count')会把分组后的函数应用到每一行数据上——保持总数据行数不变。
  • agg,pandas的数据聚合方法,可以对一列或者多列使用函数,将一个函数使用在一个数列上,然后返回一个标量的值。内置函数名需要用引号。

08 引用链接