计算机网络——数据链路层

833 阅读23分钟

3.0 数据链路层

数据链路层使用的信道主要有以下两种类型:

点对点信道:这种信道使用一对一的点对点通信方式。

广播信道:这种信道使用一对多的广播通信方式,因此过程比较复杂。广播信道上连接的主机很多,因此必须使用专用的共享信道协议来协调这些主机的数据发送。

数据链路层的简单模型

image.png

3.1 使用点对点信道的数据链路层

3.1.1 数据链路和帧

链路(link)是一条无源的点到点的物理线路段,中间没有任何其他的交换结点。

一条链路只是一条通路的一个组成部分。

数据链路(data link) 除了物理线路外,还必须有通信协议来控制这些数据的传输。若把实现这些协议的硬件和软件加到链路上,就构成了数据链路。

现在最常用的方法是使用适配器(即网卡)来实现这些协议的硬件和软件。

一般的适配器都包括了数据链路层和物理层这两层的功能。

数据链路层传送的是帧

image.png

数据链路层像个数字管道

常常在两个对等的数据链路层之间画出一个数字管道,而在这条数字管道上传输的数据单位是

image.png

3.1.2 三个基本问题

(1) 封装成帧

封装成帧(framing)就是在一段数据的前后分别添加首部和尾部,然后就构成了一个帧。

首部和尾部的一个重要作用就是进行帧定界

image.png

(2) 透明传输

image.png

解决透明传输问题

发送端的数据链路层在数据中出现控制字符“SOH”或“EOT”的前面插入一个转义字符“ESC”(其十六进制编码是 1B)。

字节填充(byte stuffing)或字符填充(characterstuffing)——接收端的数据链路层在将数据送往网络层之前删除插入的转义字符。

如果转义字符也出现数据当中,那么应在转义字符前面插入一个转义字符。当接收端收到连续的两个转义字符时,就删除其中前面的一个。

image.png

(3) 差错控制

在传输过程中可能会产生比特差错:1 可能会变成 0 而 0 也可能变成 1。

在一段时间内,传输错误的比特占所传输比特总数的比率称为误码率 BER (Bit Error Rate)。

误码率与信噪比有很大的关系。

循环冗余检验的原理

在数据链路层传送的帧中,广泛使用了循环冗余检验 CRC 的检错技术。

在发送端,先把数据划分为组。假定每组 k个比特。

假设待传送的一组数据 M = 101001(现在k = 6)。我们在 M 的后面再添加供差错检测用的 n 位冗余码一起发送。

冗余码的计算

用二进制的模 2运算进行 2^n 乘 M 的运算,这相当于在 M 后面添加 n 个 0。

得到的 (k + n) 位的数除以事先选定好的长度为 (n + 1) 位的除数 P,得出是 Q 而余数是 R,余数 R 比除数 P 少 1 位,即 R 是 n 位。

image.png

image.png

帧检验序列 FCS

在数据后面添加上的冗余码称为帧检验序列 FCS (Frame Check Sequence)。

CRC 是一种常用的检错方法,而 FCS 是添加在数据后面的冗余码。

FCS 可以用 CRC 这种方法得出,但 CRC 并非用来获得 FCS 的唯一方法。

接收端对收到的每一帧进行 CRC 检验

(1) 若得出的余数 R = 0,则判定这个帧没有差错,就接受(accept)。

(2) 若余数 R ≠ 0,则判定这个帧有差错,就丢弃。

我的理解:看到这边,明白了计算冗余码的过程就是在校验数据是否存在错误的过程。除数的选择必须让正确的数据除以该除数时得到的余数等于 0 。

但这种检测方法并不能确定究竟是哪一个或哪几个比特出现了差错。

只要经过严格的挑选,并使用位数足够多的除数 P,那么出现检测不到的差错的概率就很小很小。

仅用循环冗余检验 CRC 差错检测技术只能做到无差错接受(accept)。

“无差错接受”是指:“凡是接受的帧(即不包括丢弃的帧),我们都能以非常接近于 1 的概率认为这些帧在传输过程中没有产生差错”。也就是说:“凡是接收端数据链路层接受的帧都没有传输差错”(有差错的帧就丢弃而不接受)。

要做到“可靠传输”(即发送什么就收到什么)就必须再加上确认重传机制。

3.2 点对点协议 PPP

3.2.1 PPP 协议的特点

现在全世界使用得最多的数据链路层协议是点对点协议 PPP (Point-to-Point Protocol)。

用户使用拨号电话线接入因特网时,一般都是使用 PPP 协议。

用户到 ISP 的链路使用 PPP 协议

image.png

1. PPP 协议应满足的需求

简单——这是首要的要求

封装成帧

透明传输

差错检测

……

2. PPP 协议不需要的功能

纠错

流量控制

序号

多点线路

半双工或单工链路

3. PPP 协议的组成

1992 年制订了 PPP 协议。经过 1993 年和 1994 年的修订,现在的 PPP 协议已成为因特网的正式标准[RFC 1661]。

PPP 协议有三个组成部分

一个将 IP 数据报封装到串行链路的方法。

链路控制协议 LCP (Link Control Protocol)。

网络控制协议 NCP (Network Control Protocol)。

3.2.2 PPP 协议的帧格式

image.png

标志字段F = 0x7E (符号“0x”表示后面的字符是用十六进制表示。十六进制的7E 的二进制表示是 01111110)。

地址字段 A 只置为 0xFF。地址字段实际上并不起作用。

控制字段 C 通常置为 0x03。

PPP 是面向字节的,所有的 PPP 帧的长度都是整数字节。

PPP 有一个 2 个字节的协议字段

当协议字段为 0x0021 时,PPP 帧的信息字段就是 IP 数据报。

若为 0xC021, 则信息字段是 PPP 链路控制数据。

若为 0x8021,则表示这是网络控制数据。

透明传输问题

当 PPP 用在同步传输链路时,协议规定采用硬件来完成比特填充(和 HDLC 的做法一样)。

当 PPP 用在异步传输时,就使用一种特殊的字符填充法

零比特填充

PPP 协议用在 SONET/SDH 链路时,是使用同步传输(一连串的比特连续传送)。这时 PPP 协议采用零比特填充方法来实现透明传输。

在发送端,只要发现有 5 个连续 1,则立即填入一个 0。接收端对帧中的比特流进行扫描。每当发现 5 个连续1时,就把这 5 个连续 1 后的一个 0 删除。

image.png

字符填充

若信息字段中出现一个 0x7D 的字节, 则将其转变成为 2 字节序列(0x7D, 0x5D)。

若信息字段中出现 ASCII 码的控制字符(即数值小于 0x20 的字符),则在该字符前面要加入一个 0x7D 字节,同时将该字符的编码加以改变。

不提供使用序号和确认的可靠传输

PPP 协议之所以不使用序号和确认机制是出于以下的考虑:

(1)在数据链路层出现差错的概率不大时,使用比较简单的 PPP 协议较为合理。

(2)在因特网环境下,PPP 的信息字段放入的数据是 IP 数据报。数据链路层的可靠传输并不能够保证网络层的传输也是可靠的。

(3)帧检验序列 FCS 字段可保证无差错接受。

3.3 使用广播信道的数据链路层

3.3.1 局域网的数据链路层

局域网最主要的特点是:网络为一个单位所拥有,且地理范围和站点数目均有限。

局域网具有如下的一些主要优点:

(1)具有广播功能,从一个站点可很方便地访问全网。局域网上的主机可共享连接在局域网上的各种硬件和软件资源。

(2)便于系统的扩展和逐渐地演变,各设备的位置可灵活调整和改变。

(3)提高了系统的可靠性、可用性和残存性。

局域网的拓扑

image.png

数据链路层的两个子层

为了使数据链路层能更好地适应多种局域网标准,802 委员会就将局域网的数据链路层拆成两个子层:

(1)逻辑链路控制 LLC (Logical Link Control) 子层

(2)媒体接入控制 MAC (Medium Access Control) 子层。

与接入到传输媒体有关的内容都放在 MAC 子层,而 LLC 子层则与传输媒体无关,不管采用何种协议的局域网对 LLC 子层来说都是透明的。

image.png

以后一般不考虑 LLC 子层

适配器的作用

网络接口板又称为通信适配器(adapter)或网络接口卡 NIC (Network Interface Card),或“网卡”。

适配器的重要功能:

(1)进行串行/并行转换。

(2)对数据进行缓存。

(3)在计算机的操作系统安装设备驱动程序。

(4)实现以太网协议。

计算机通过适配器和局域网进行通信

image.png

3.3.2 CSMA/CD 协议

最初的以太网是将许多计算机都连接到一根总线上。当初认为这样的连接方法既简单又可靠,因为总线上没有有源器件。

image.png

以太网的广播方式发送

总线上的每一个工作的计算机都能检测到 B 发送的数据信号。

由于只有计算机 D 的地址与数据帧首部写入的地址一致,因此只有 D 才接收这个数据帧。

其他所有的计算机(A, C 和 E)都检测到不是发送给它们的数据帧,因此就丢弃这个数据帧而不能够收下来。

具有广播特性的总线上实现了一对一的通信。

以太网提供的服务

以太网提供的服务是不可靠的交付,即尽最大努力的交付。

当目的站收到有差错的数据帧时就丢弃此帧,其他什么也不做。差错的纠正由高层来决定。

如果高层发现丢失了一些数据而进行重传,但以太网并不知道这是一个重传的帧,而是当作一个新的数据帧来发送。

以太网发送的数据都使用曼彻斯特(Manchester)编码

image.png

我的理解:曼彻斯特编码中0和1的图像是相反的。而差分曼彻斯特编码中0和1的图像并不是固定的,而是当碰到1时图像就做一次变换,碰到0时保持不变。

载波监听多点接入/碰撞检测(CSMA/CD)

多点接入”表示许多计算机以多点接入的方式连接在一根总线上。

载波监听”是指每一个站在发送数据之前先要检测一下总线上是否有其他计算机在发送数据,如果有,则暂时不要发送数据,以免发生碰撞。

碰撞检测(冲突检测)

碰撞检测”就是计算机边发送数据边检测信道上的信号电压大小。

当几个站同时在总线上发送数据时,总线上的信号电压摆动值将会增大(互相叠加)。当一个站检测到的信号电压摆动值超过一定的门限值时,就认为总线上至少有两个站同时在发送数据,表明产生了碰撞。

在发生碰撞时,总线上传输的信号产生了严重的失真,无法从中恢复出有用的信息来。每一个正在发送数据的站,一旦发现总线上出现了碰撞,就要立即停止发送,免得继续浪费网络资源,然后等待一段随机时间后再次发送。

传播时延对载波监听的影响

image.png

image.png

重要特性

使用 CSMA/CD 协议的以太网不能进行全双工通信而只能进行双向交替通信(半双工通信)。

每个站在发送数据之后的一小段时间内,存在着遭遇碰撞的可能性。

这种发送的不确定性使整个以太网的平均通信量远小于以太网的最高数据率。

争用期

最先发送数据帧的站,在发送数据帧后至多经过时间 2τ (两倍的端到端往返时延)就可知道发送的数据帧是否遭受了碰撞。

以太网的端到端往返时延 2τ 称为争用期,或碰撞窗口。

经过争用期这段时间还没有检测到碰撞,才能肯定这次发送不会发生碰撞。

二进制指数类型退避算法(truncated binary exponential type)

发生碰撞的站在停止发送数据后,要推迟(退避)一个随机时间才能再发送数据。

基本退避时间取为争用期 2τ。从整数集合[0,1,…, (2^k −1)]中随机地取出一个数,记为 r。重传所需的时延就是 r 倍的基本退避时间。

参数 k 按这个公式计算:k = Min[重传次数, 10]。当 k < 10 时,参数 k 等于重传次数。

当重传达 16 次仍不能成功时即丢弃该帧,并向高层报告。

争用期的长度与最短有效帧长

以太网取 51.2 μs 为争用期的长度。

对于 10 Mb/s 以太网,在争用期内可发送 512 bit,即 64 字节。

以太网在发送数据时,若前 64 字节没有发生冲突,则后续的数据就不会发生冲突。所以如果发生冲突,就一定是在发送的前 64 字节之内。

由于一检测到冲突就立即中止发送,这时已经发送出去的数据一定小于 64 字节。以太网规定了最短有效帧长为 64 字节,凡长度小于 64 字节的帧都是由于冲突而异常中止的无效帧。

强化碰撞

当发送数据的站一旦发现发生了碰撞时:

(1)立即停止发送数据;

(2)再继续发送若干比特的人为干扰信号(jamming signal),以便让所有用户都知道现在已经发生了碰撞。

image.png

3.4 使用广播信道的以太网

3.4.1 使用集线器的星形拓扑

这种以太网采用星形拓扑,在星形的中心则增加了一种可靠性非常高的设备,叫做集线器(hub)。

使用集线器的双绞线以太网

image.png

以太网在局域网中的统治地位

10BASE-T 的通信距离稍短,每个站到集线器的距离不超过 100 m。

这种 10 Mb/s 速率的无屏蔽双绞线星形网的出现,既降低了成本,又提高了可靠性。

集线器的一些特点

集线器是使用电子器件来模拟实际电缆线的工作,因此整个系统仍然像一个传统的以太网那样运行。

使用集线器的以太网在逻辑上仍是一个总线网,各工作站使用的还是 CSMA/CD 协议,并共享逻辑上的总线。

集线器很像一个多接口的转发器,工作在物理层。

3.4.2 以太网的信道利用率

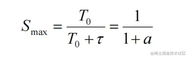
帧长为 L (bit),数据发送速率为 C (b/s),因而帧的发送时间为 L/C = T0 (s)。

一个帧从开始发送,经可能发生的碰撞后,将再重传数次,到发送成功且信道转为空闲(即再经过时间 τ 使得信道上无信号在传播)时为止,是发送一帧所需的平均时间。

image.png

发送一帧占用线路的时间是 T0 + τ,而帧本身的发送时间是 T0。于是我们可计算出理想情况下的

极限信道利用率 Smax 为:

image.png

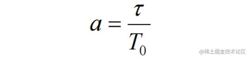
参数a

要提高以太网的信道利用率,就必须减小  与T0 之比。在以太网中定义了参数 a,它是以太网单程端到端时延 τ 与帧的发送时间 T0 之比:

image.png

a→0 表示一发生碰撞就立即可以检测出来,并立即停止发送,因而信道利用率很高。

a 越大,表明争用期所占的比例增大,每发生一次碰撞就浪费许多信道资源,使得信道利用率明显降低。

3.4.3 以太网的 MAC 层

1. MAC层的硬件地址

在局域网中,硬件地址又称为物理地址,或 MAC 地址

802 标准所说的“地址”严格地讲应当是每一个站的“名字”或标识符

48位的Mac地址

IEEE 的注册管理机构 RA 负责向厂家分配地址字段的前三个字节(即高位 24 位)。

地址字段中的后三个字节(即低位 24 位)由厂家自行指派,称为扩展标识符,必须保证生产出的适配器没有重复地址。

一个地址块可以生成 2^24 个不同的地址。这种 48 位地址称为 MAC-48,它的通用名称是EUI-48。

适配器检查 MAC 地址

适配器从网络上每收到一个 MAC 帧就首先用硬件检查 MAC 帧中的 MAC 地址:

(1)如果是发往本站的帧则收下,然后再进行其他的处理;

(2)否则就将此帧丢弃,不再进行其他的处理。

2. MAC 帧的格式

最常用的 MAC 帧是以太网 V2 的格式。

image.png

无效的 MAC 帧

对于检查出的无效 MAC 帧就简单地丢弃。以太网不负责重传丢弃的帧。

帧间最小间隔

帧间最小间隔为 9.6 μs,相当于 96 bit 的发送时间。

一个站在检测到总线开始空闲后,还要等待 9.6 μs 才能再次发送数据。

这样做是为了使刚刚收到数据帧的站的接收缓存来得及清理,做好接收下一帧的准备。

3.5 扩展的局域网

3.5.1 在物理层扩展局域网

(1)主机使用光纤和一对光纤调制解调器连接到集线器

image.png

(2)用多个集线器可连成更大的局域网

image.png

image.png

用集线器扩展局域网

优点:

(1)使原来属于不同碰撞域的局域网上的计算机能够进行跨碰撞域的通信。

(2)扩大了局域网覆盖的地理范围。

缺点:

(1)碰撞域增大了,但总的吞吐量并未提高。

(2)如果不同的碰撞域使用不同的数据率,那么就不能用集线器将它们互连起来。

3.5.2 在数据链路层扩展局域网

在数据链路层扩展局域网是使用网桥

网桥工作在数据链路层,它根据 MAC 帧的目的地址对收到的帧进行转发。

网桥具有过滤帧的功能。当网桥收到一个帧时,并不是向所有的接口转发此帧,而是先检查此帧的目的 MAC 地址,然后再确定将该帧转发到哪一个接口。

1. 网桥的内部结构

image.png

使用网桥带来的好处

过滤通信量。

扩大了物理范围。

提高了可靠性。

可互连不同物理层、不同 MAC 子层和不同速率(如10 Mb/s 和 100 Mb/s 以太网)的局域网。

网桥使各网段成为隔离开的碰撞域

image.png

使用网桥带来的缺点

网桥只适合于用户数不太多(不超过几百个)和通信量不太大的局域网,否则有时还会因传播过多的广播信息而产生网络拥塞。这就是所谓的广播风暴。

网桥和集线器(或转发器)不同

集线器在转发帧时,不对传输媒体进行检测。

网桥在转发帧之前必须执行 CSMA/CD 算法。若在发送过程中出现碰撞,就必须停止发送和进行退避。

2. 透明网桥

目前使用得最多的网桥是透明网桥(transparent bridge)。

“透明”是指局域网上的站点并不知道所发送的帧将经过哪几个网桥,因为网桥对各站来说是看不见的。

透明网桥是一种即插即用设备,其标准是 IEEE 802.1D。

网桥应当按照以下自学习算法处理收到的帧和建立转发表

(1)若从 A 发出的帧从接口 x 进入了某网桥,那么从这个接口出发沿相反方向一定可把一个帧传送到 A 。

(2)网桥每收到一个帧,就记下其源地址和进入网桥的接口,作为转发表中的一个项目。

(3)在建立转发表时是把帧首部中的源地址写在“地址”这一栏的下面。

(4)在转发帧时,则是根据收到的帧首部中的目的地址来转发的。这时就把在“地址”栏下面已经记下的源地址当作目的地址,而把记下的进入接口当作转发接口。

image.png

网桥在转发表中登记以下三个信息

在网桥的转发表中写入的信息除了地址和接口外,还有帧进入该网桥的时间。

把每个帧到达网桥的时间登记下来,就可以在转发表中只保留网络拓扑的最新状态信息。这样就使得网桥中的转发表能反映当前网络的最新拓扑状态。

网桥的自学习和转发帧的步骤归纳

网桥收到一帧后先进行自学习。查找转发表中与收到帧的源地址有无相匹配的项目。如没有,就在转发表中增加一个项目(源地址、进入的接口和时间)。如有,则把原有的项目进行更新。

转发帧。查找转发表中与收到帧的目的地址有无相匹配的项目:

(1)如没有,则通过所有其他接口(但进入网桥的接口除外)按进行转发。

(2)如有,则按转发表中给出的接口进行转发。

(3)若转发表中给出的接口就是该帧进入网桥的接口,则应丢弃这个帧(因为这时不需要经过网桥进行转发)。

透明网桥使用了生成树算法

这是为了避免产生转发的帧在网络中不断地兜圈子。

image.png

互连在一起的网桥在进行彼此通信后,就能找出原来的网络拓扑的一个子集。在这个子集里,整个连通的网络中不存在回路,即在任何两个站之间只有一条路径

为了得出能够反映网络拓扑发生变化时的生成树,在生成树上的根网桥每隔一段时间还要对生成树的拓扑进行更新。

3. 源路由网桥

透明网桥容易安装,但网络资源的利用不充分。

源路由(source route)网桥在发送帧时将详细的路由信息放在帧的首部中。

源站以广播方式向欲通信的目的站发送一个发现帧,每个发现帧都记录所经过的路由。

发现帧到达目的站时就沿各自的路由返回源站。源站在得知这些路由后,从所有可能的路由中选择出一个最佳路由。凡从该源站向该目的站发送的帧的首部,都必须携带源站所确定的这一路由信息。

4. 多接口网桥——以太网交换机

1990 年问世的交换式集线器(switching hub),可明显地提高局域网的性能。

交换式集线器常称为以太网交换机(switch)或第二层交换机(表明此交换机工作在数据链路层)。

以太网交换机通常都有十几个接口。因此,以太网交换机实质上就是一个多接口的网桥,可见交换机工作在数据链路层。

以太网交换机的特点

以太网交换机的每个接口都直接与主机相连,并且一般都工作在全双工方式

交换机能同时连通许多对的接口,使每一对相互通信的主机都能像独占通信媒体那样,进行无碰撞地传输数据

以太网交换机由于使用了专用的交换结构芯片,其交换速率就较高。

独占传输媒体的带宽

对于普通 10 Mb/s 的共享式以太网,若共有 N 个用户,则每个用户占有的平均带宽只有总带宽(10 Mb/s)的 N 分之一。

使用以太网交换机时,虽然在每个接口到主机的带宽还是 10 Mb/s,但由于一个用户在通信时是独占而不是和其他网络用户共享传输媒体的带宽,因此对于拥有 N 对接口的交换机的总容量为N*10 Mb/s。这正是交换机的最大优点。

用以太网交换机扩展局域网

image.png

利用以太网交换机可以很方便地实现虚拟局域网

虚拟局域网 VLAN 是由一些局域网网段构成的与物理位置无关的逻辑组:

(1)这些网段具有某些共同的需求;

(2)每一个 VLAN 的帧都有一个明确的标识符,指明发送这个帧的工作站是属于哪一个 VLAN 。

虚拟局域网其实只是局域网给用户提供的一种服务,而并不是一种新型局域网。

image.png

(1)当 B1 向 VLAN2 工作组内成员发送数据时,工作站 B2 和 B3 将会收到广播的信息。

(2)B1 发送数据时,工作站 A1 , A2 和 C1 都不会收到 B1 发出的广播信息。

(3)虚拟局域网限制了接收广播信息的工作站数,使得网络不会因传播过多的广播信息(即“广播风暴”),引起性能恶化。

虚拟局域网使用的以太网帧格式

虚拟局域网协议允许在以太网的帧格式中插入一个 4 字节的标识符,称为 VLAN 标记(tag),用来指明发送该帧的工作站属于哪一个虚拟局域网。

image.png