如何设计一款基于 MySQL 实现的 Message Queue

2,068 阅读6分钟

EMS

Extend MySQL Stream;

一种基于 MySQL 实现的 stream 队列.

功能

  1. 集群消费、广播消费
  2. 自动重试、死信队列
  3. 快速重置消息位点,快速回放消息,快速查询消息
  4. 消息可基于磁盘积压、消息可快速清理
  5. 监控 group 积压,topic 消息量排行,消息链路追踪,消息消费超时告警;
  6. 读写性能 1200-3000 QPS 左右

写入设计

msg id 就是 topic 维度的自增 id,可对多个 topic 并发写入

  • 针对一个 topic,需要有物理 physics offset, 每次写入,topic 维度的 physics_offset 自增加一
    • 写入需要上锁吗? 看怎么写, 如果使用非原子的形式自增 id,比如数据的的方式,先查出最大 id,再加一,那么必须加锁
      • 如果使用 redis 自增特性实现, 为每个 topic 配置一个自增 key, 则可以避免加锁.
      • redis 实现虽然性能好, 如为配置aof,宕机则可能导致丢失数据, 此时,会出现 offset 重复异常, 过一会随着继续自增, 也就恢复了.
    • topic 维度的自增 id 如果使用 mysql 实现, 性能不堪受辱,因此,此处使用 redis 自增实现(可配置为 mysql 实现);
    • 经过测试,笔记本电脑,单 topic 20 并发写入,qps 在 1000-1500 左右(local mysql & local redis),基本满足业务需求。
    • 考虑到高可用性和业务场景,此处无法使用批量插入
  • 所有的 topic 和 msg 都写入的这一张表中,表数据定时清理,消费完的消息,可提前删除。
  • 注意,本方案写入性能瓶颈是 MySQL Server 的性能瓶颈。

读取设计

  1. 假设针对一个 topic,只有一个 consumer,只需循环读取,然后更新 offset 即可。
    1. 但结合实际业务场景,这种基本不存在,所以,忽略这种场景。
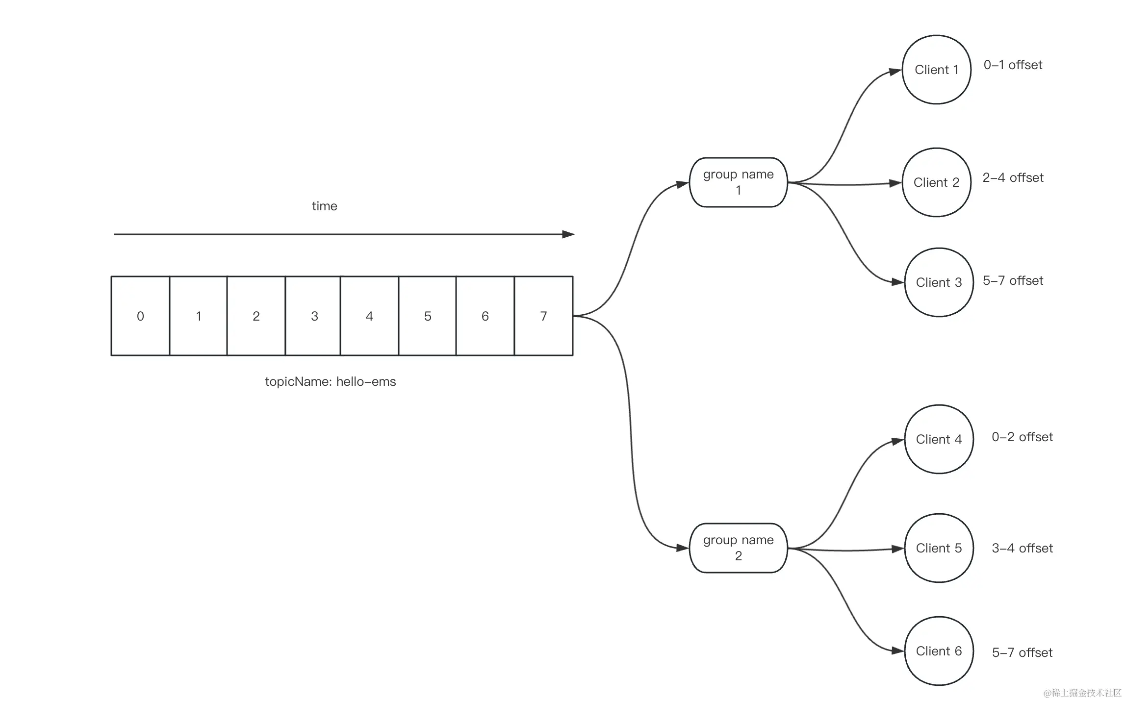
    2. 通常,一个 topic 有多个 consumer group(简称 tg), 一个 consumer group 有多个 client(jvm or thread)
  2. 如果一个 topic + group(简称 tg),有多个 consumer,每个 consumer 有多个线程,读取和更新 offset 则会有并发问题, 如下图。
  • 这个 client id,我们将其设计为,ip + pid + uuid + thread id;
    • ip 和 pid 可帮助我们追溯问题
    • uuid 简单防重复
    • thread id,一种性能优化,下面细说。
  • 结合实际业务场景,且遵循 simple is better 原则,读取时,使用上锁的方式解决并发问题。锁的粒度就是 tg
  • 考虑到要实现基本的顺序读取和防止重复消费,多线程并发时,我们应当实现基于自增的形式读取 msg;每个 clientid 读取消息后,都会记录一个简单的log,并在 tg 维度增加一个 max offset
  • 每次读取消息时,每个 client 都需要去检查当前想要读取的 tg 是否已经有【其他 client】在操作 max offset。即,我们将锁的粒度缩小到了 max offset;
    • 整体原则是,一个 t + g 的 max offset,同时只能有一个 thread 操作(写和更新)
    • 如果有其他人在读取,则阻塞
    • 如果没有其他人在读取,则锁住这个 tg, 并批量拉取一定数量的消息 id,
      • 对这个 tg 维度的 max offset + n
      • 批量插入这个 tg + clientid offset log,表明这个消息被这个 clientid 读取了,同时也间接更新了 max offset(order by offset)
      • 释放锁🔐
      • 拉取刚刚读取的 msg id list 里面的消息体
      • 交给业务处理消息

img.png

  1. ack

    1. 对于集群消息,如何保证在断电情况下,消息不丢失,使用数据库存储消息, 写入即不会丢失, 但消费时, 如果刚刚读进内存就立刻宕机,则需要在重启时恢复消息.
    2. 每个 client get 到消息后,都需要记录 msg pid,consumer group,state(start、done,retry)为 start 状态
    3. ack success,将 log update 为 done 状态
    4. ack fail 后,将 log update 为 retry 状态,同时将消息存入重试队列
      1. 这里需要上锁吗?其实是不需要的,因为更新的维度是 client id 的 log,不存在并发更新. 这里更新状态是表示这些消息已经处理结束了,否则无法判定宕机场景。
      2. 对于 start 状态的消息,定时任务会去检查
        1. 如果 client 还存活,超过 1 分钟(可配),则将其捞出,放进重试队列,并在 10s 进行第一次重试
        2. 如果 client 还存活,则立刻将其捞出,放进重试队列,并在 10s 进行第一次重试
    5. ack 是批量的,ack 失败,仅会导致重复消费。
  2. 广播消息

    1. 是否为广播消息由 topic 确定
    2. 广播消息不需要上锁,每一个订阅该 topic 的 client 都会读取到该消息
    3. 广播消息不需要 ack,不需要记录成功或失败或重试,仅需要内存里记录 offset
    4. 推荐尽可能使用集群模式,使用集群模式模拟广播模式
  3. client id

    1. 只有 consumer 需要 client id
    2. client id 由 ip pid uuid + thread id 组成, 可溯源.
    3. client id 需要续约(5s),如果机器宕机,则会被自动清除,且他的 start 状态的消息会进入重试队列,交给同 group 的其他 client
    4. client id 可以自己主动注销,注销前,自己内存的消息应当被优雅消费结束,一般来讲,kill -15 的 jvm 都会主动注销 client id;

核心表设计

  1. topic 表:记录topic 元信息
  2. group 表:记录 group 订阅元信息
  3. msg 表:msg总表,记录写入的信息,包含 body 和 topic 维度的自增 offset,类似 rocketmq commit log
    1. 该表会被多个 consumer 消费的消息
    2. 该表会被定制删除过期数据
  4. retry msg 表,消费失败、超时的消息,会进入该表,并按阶梯定时消费
  5. dead msg 表,消费重试 16(any config) 次的消息,会进入该表
  6. topic_group_log 表:记录 consumer group client 的 msg 消费记录,包含 state(start、done,retry) 字段,可 ack
    1. 该表的记录行数会非常多,单行数据较少,可自动删除 done 的记录

锁🔐

如上文所说,由于本方案未采用常见的多 queue 和多 partition 的设计,因此瓶颈在于上图提到的分布式锁的设计上,具体链路为 consumer group client 在集群消费时, 为了让并发读取的 thread 拉取到的消息尽可能准确,使用上锁的方式来实现。

总体看下来, 可以简单理解为, ems 失去了性能, 却拥有了所有.

ps:一个 Java 插件化项目,github 地址:github.com/stateIs0/ex… 欢迎交流使用 star。