react-fiber深入,断点恢复,收集任务结果,调度任务,优先级策略,fiber tree workInProgress tree,requestIdleC

616 阅读16分钟

一.目标

Fiber 是对 React 核心算法的重构,2 年重构的产物就是 Fiber reconciler

核心目标:扩大其适用性,包括动画,布局和手势。分为 5 个具体目标(后 2 个算送的):

  • 把可中断的工作拆分成小任务
  • 对正在做的工作调整优先次序、重做、复用上次(做了一半的)成果
  • 在父子任务之间从容切换(yield back and forth),以支持 React 执行过程中的布局刷新
  • 支持 render()返回多个元素
  • 更好地支持 error boundary

既然初衷是不希望 JS 不受控制地长时间执行(想要手动调度),那么,为什么 JS 长时间执行会影响交互响应、动画?

因为 JavaScript 在浏览器的主线程上运行,恰好与样式计算、布局以及许多情况下的绘制一起运行。如果 JavaScript 运行时间过长,就会阻塞这些其他工作,可能导致掉帧。

(引自Optimize JavaScript Execution

React 希望通过 Fiber 重构来改变这种不可控的现状,进一步提升交互体验

P.S.关于 Fiber 目标的更多信息,请查看 Codebase Overview

二.关键特性

Fiber 的关键特性如下:

  • 增量渲染(把渲染任务拆分成块,匀到多帧)
  • 更新时能够暂停,终止,复用渲染任务
  • 给不同类型的更新赋予优先级
  • 并发方面新的基础能力

增量渲染用来解决掉帧的问题,渲染任务拆分之后,每次只做一小段,做完一段就把时间控制权交还给主线程,而不像之前长时间占用。这种策略叫做 cooperative scheduling(合作式调度),操作系统的 3 种任务调度策略之一(Firefox 还对真实 DOM 应用了这项技术)

另外,React 自身的 killer feature 是 virtual DOM,2 个原因:

  • coding UI 变简单了(不用关心浏览器应该怎么做,而是把下一刻的 UI 描述给 React 听)
  • 既然 DOM 能 virtual,别的(硬件、VR、native App)也能

React 实现上分为 2 部分:

  • reconciler 寻找某时刻前后两版 UI 的差异。包括之前的 Stack reconciler 与现在的 Fiber reconciler
  • renderer 插件式的,平台相关的部分。包括 React DOM、React Native、React ART、ReactHardware、ReactAframe、React-pdf、ReactThreeRenderer、ReactBlessed 等等

这一波是对 reconciler 的彻底改造,对 killer feature 的增强

三.fiber 与 fiber tree

React 运行时存在 3 种实例:

DOM 真实DOM节点
-------
Instances React维护的vDOM tree node
-------
Elements 描述UI长什么样子(type, props)

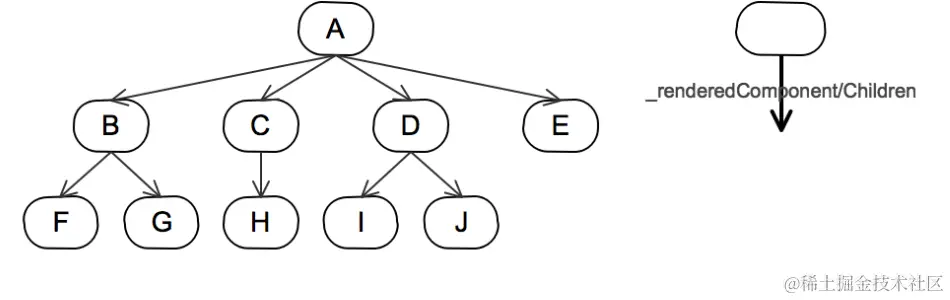
Instances 是根据 Elements 创建的,对组件及 DOM 节点的抽象表示,vDOM tree 维护了组件状态以及组件与 DOM 树的关系

在首次渲染过程中构建出 vDOM tree,后续需要更新时(setState()),diff vDOM tree 得到 DOM change,并把 DOM change 应用(patch)到 DOM 树

Fiber 之前的 reconciler(被称为 Stack reconciler)自顶向下的递归 mount/update,无法中断(持续占用主线程),这样主线程上的布局、动画等周期性任务以及交互响应就无法立即得到处理,影响体验

Fiber 解决这个问题的思路是把渲染/更新过程(递归 diff)拆分成一系列小任务,每次检查树上的一小部分,做完看是否还有时间继续下一个任务,有的话继续,没有的话把自己挂起,主线程不忙的时候再继续

增量更新需要更多的上下文信息,之前的 vDOM tree 显然难以满足,所以扩展出了 fiber tree(即 Fiber 上下文的 vDOM tree),更新过程就是根据输入数据以及现有的 fiber tree 构造出新的 fiber tree(workInProgress tree)。因此,Instance 层新增了这些实例:

DOM
    真实DOM节点
-------
effect
    每个workInProgress tree节点上都有一个 effect list 用来存放diff结果
    当前节点更新完毕会向上merge effect list(queue收集diff结果)
- - - -
workInProgress
    workInProgress tree 是 reconcile过程中从fiber tree建立的当前进度快照,用于断点恢复
- - - -
fiber
    fiber tree与vDOM tree类似,用来描述增量更新所需的上下文信息
-------
Elements
    描述UI长什么样子(type, props)

注意:放在虚线上的 2 层都是临时的结构,仅在更新时有用,日常不持续维护。effect 指的就是 side effect,包括将要做的 DOM change

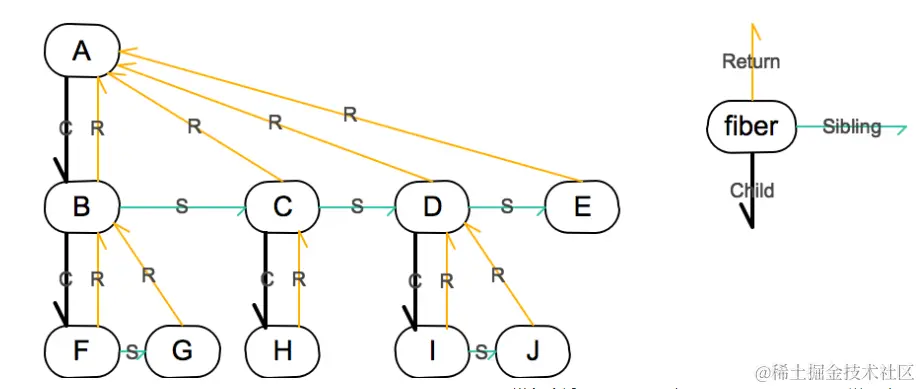
fiber tree 上各节点的主要结构(每个节点称为 fiber)如下:

// fiber tree节点结构
{
    stateNode,
    child,
    return,
    sibling,
    ...
}

return 表示当前节点处理完毕后,应该向谁提交自己的成果(effect list)

P.S.fiber tree 实际上是个单链表(Singly Linked List)树结构,见react/packages/react-reconciler/src/ReactFiber.js

P.S.注意小 fiber 与大 Fiber,前者表示 fiber tree 上的节点,后者表示 React Fiber

四.Fiber reconciler

reconcile 过程分为 2 个阶段(phase):

  1. (可中断)render/reconciliation 通过构造 workInProgress tree 得出 change
  2. (不可中断)commit 应用这些 DOM change

render/reconciliation

以 fiber tree 为蓝本,把每个 fiber 作为一个工作单元,自顶向下逐节点构造 workInProgress tree(构建中的新 fiber tree)

具体过程如下(以组件节点为例):

  1. 如果当前节点不需要更新,直接把子节点 clone 过来,跳到 5;要更新的话打个 tag
  2. 更新当前节点状态(props, state, context 等)
  3. 调用 shouldComponentUpdate(),false 的话,跳到 5
  4. 调用 render()获得新的子节点,并为子节点创建 fiber(创建过程会尽量复用现有 fiber,子节点增删也发生在这里)
  5. 如果没有产生 child fiber,该工作单元结束,把 effect list 归并到 return,并把当前节点的 sibling 作为下一个工作单元;否则把 child 作为下一个工作单元
  6. 如果没有剩余可用时间了,等到下一次主线程空闲时才开始下一个工作单元;否则,立即开始做
  7. 如果没有下一个工作单元了(回到了 workInProgress tree 的根节点),第 1 阶段结束,进入 pendingCommit 状态

实际上是 1-6 的工作循环,7 是出口,工作循环每次只做一件事,做完看要不要喘口气。工作循环结束时,workInProgress tree 的根节点身上的 effect list 就是收集到的所有 side effect(因为每做完一个都向上归并)

所以,构建 workInProgress tree 的过程就是 diff 的过程,通过 requestIdleCallback 来调度执行一组任务,每完成一个任务后回来看看有没有插队的(更紧急的),每完成一组任务,把时间控制权交还给主线程,直到下一次 requestIdleCallback 回调再继续构建 workInProgress tree

P.S.Fiber 之前的 reconciler 被称为 Stack reconciler,就是因为这些调度上下文信息是由系统栈来保存的。虽然之前一次性做完,强调栈没什么意义,起个名字只是为了便于区分 Fiber reconciler

requestIdleCallback

通知主线程,要求在不忙的时候告诉我,我有几个不太着急的事情要做

具体用法如下:

window.requestIdleCallback(callback[, options])
// 示例
let handle = window.requestIdleCallback((idleDeadline) => {
    const {didTimeout, timeRemaining} = idleDeadline;
    console.log(`超时了吗?${didTimeout}`);
    console.log(`可用时间剩余${timeRemaining.call(idleDeadline)}ms`);
    // do some stuff
    const now = +new Date, timespent = 10;
    while (+new Date < now + timespent);
    console.log(`花了${timespent}ms搞事情`);
    console.log(`可用时间剩余${timeRemaining.call(idleDeadline)}ms`);
}, {timeout: 1000});
// 输出结果
// 超时了吗?false
// 可用时间剩余49.535000000000004ms
// 花了10ms搞事情
// 可用时间剩余38.64ms

注意,requestIdleCallback调度只是希望做到流畅体验,并不能绝对保证什么,例如:

// do some stuff
const now = +new Date(),
  timespent = 300;
while (+new Date() < now + timespent);

如果搞事情(对应 React 中的生命周期函数等时间上不受 React 控制的东西)就花了 300ms,什么机制也保证不了流畅

P.S.一般剩余可用时间也就 10-50ms,可调度空间不很宽裕

commit

第 2 阶段直接一口气做完:

  1. 处理 effect list(包括 3 种处理:更新 DOM 树、调用组件生命周期函数以及更新 ref 等内部状态)
  2. 出队结束,第 2 阶段结束,所有更新都 commit 到 DOM 树上了

注意,真的是一口气做完(同步执行,不能喊停)的,这个阶段的实际工作量是比较大的,所以尽量不要在后 3 个生命周期函数里干重活儿

生命周期 hook

生命周期函数也被分为 2 个阶段了:

// 第1阶段 render/reconciliation
componentWillMount
componentWillReceiveProps
shouldComponentUpdate
componentWillUpdate

// 第2阶段 commit
componentDidMount
componentDidUpdate
componentWillUnmount

第 1 阶段的生命周期函数可能会被 多次调用,默认以 low 优先级(后面介绍的 6 种优先级之一)执行,被高优先级任务打断的话,稍后重新执行

五.fiber tree 与 workInProgress tree

双缓冲技术(double buffering),就像redux 里的 nextListeners,以 fiber tree 为主,workInProgress tree 为辅

双缓冲具体指的是 workInProgress tree 构造完毕,得到的就是新的 fiber tree,然后喜新厌旧(把 current 指针指向 workInProgress tree,丢掉旧的 fiber tree)就好了

这样做的好处:

  • 能够复用内部对象(fiber)
  • 节省内存分配、GC 的时间开销

每个 fiber 上都有个 alternate 属性,也指向一个 fiber,创建 workInProgress 节点时优先取 alternate,没有的话就创建一个:

let workInProgress = current.alternate;
if (workInProgress === null) {
  //...这里很有意思
  workInProgress.alternate = current;
  current.alternate = workInProgress;
} else {
  // We already have an alternate.
  // Reset the effect tag.
  workInProgress.effectTag = NoEffect;

  // The effect list is no longer valid.
  workInProgress.nextEffect = null;
  workInProgress.firstEffect = null;
  workInProgress.lastEffect = null;
}

如注释指出的,fiber 与 workInProgress 互相持有引用,“喜新厌旧”之后,旧 fiber 就作为新 fiber 更新的预留空间,达到复用 fiber 实例的目的

六.优先级策略

每个工作单元运行时有 6 种优先级:

  • synchronous 与之前的 Stack reconciler 操作一样,同步执行
  • task 在 next tick 之前执行
  • animation 下一帧之前执行
  • high 在不久的将来立即执行
  • low 稍微延迟(100-200ms)执行也没关系
  • offscreen 下一次 render 时或 scroll 时才执行

synchronous 首屏(首次渲染)用,要求尽量快,不管会不会阻塞 UI 线程。animation 通过requestAnimationFrame来调度,这样在下一帧就能立即开始动画过程;后 3 个都是由requestIdleCallback回调执行的;offscreen 指的是当前隐藏的、屏幕外的(看不见的)元素

高优先级的比如键盘输入(希望立即得到反馈),低优先级的比如网络请求,让评论显示出来等等。另外,紧急的事件允许插队

这样的优先级机制存在 2 个问题:

  • 生命周期函数怎么执行(可能被频频中断):触发顺序、次数没有保证了
  • starvation(低优先级饿死):如果高优先级任务很多,那么低优先级任务根本没机会执行(就饿死了)

生命周期函数的问题有一个官方例子:

low A
componentWillUpdate()
---
high B
componentWillUpdate()
componentDidUpdate()
---
restart low A
componentWillUpdate()
componentDidUpdate()

第 1 个问题正在解决(还没解决),生命周期的问题会破坏一些现有 App,给平滑升级带来困难,Fiber 团队正在努力寻找优雅的升级途径

第 2 个问题通过尽量复用已完成的操作(reusing work where it can)来缓解,听起来也是正在想办法解决

这两个问题本身不太好解决,只是解决到什么程度的问题。比如第一个问题,如果组件生命周期函数掺杂副作用太多,就没有办法无伤解决。这些问题虽然会给升级 Fiber 带来一定阻力,但绝不是不可解的(退一步讲,如果新特性有足够的吸引力,第一个问题大家自己想办法就解决了)

七.总结

已知

React 在一些响应体验要求较高的场景不适用,比如动画,布局和手势

根本原因是渲染/更新过程一旦开始无法中断,持续占用主线程,主线程忙于执行 JS,无暇他顾(布局、动画),造成掉帧、延迟响应(甚至无响应)等不佳体验

一种能够彻底解决主线程长时间占用问题的机制,不仅能够应对眼前的问题,还要有长远意义

The “fiber” reconciler is a new effort aiming to resolve the problems inherent in the stack reconciler and fix a few long-standing issues.

把渲染/更新过程拆分为小块任务,通过合理的调度机制来控制时间(更细粒度、更强的控制力)

那么,面临 5 个子问题:

1. 拆什么?什么不能拆?

把渲染/更新过程分为 2 个阶段(diff + patch):

1.diff ~ render/reconciliation
2.patch ~ commit

diff 的实际工作是对比 prevInstance 和 nextInstance 的状态,找出差异及其对应的 DOM change。diff 本质上是一些计算(遍历、比较),是可拆分的(算一半待会儿接着算)

patch 阶段把本次更新中的所有 DOM change 应用到 DOM 树,是一连串的 DOM 操作。这些 DOM 操作虽然看起来也可以拆分(按照 change list 一段一段做),但这样做一方面可能造成 DOM 实际状态与维护的内部状态不一致,另外还会影响体验。而且,一般场景下,DOM 更新的耗时比起 diff 及生命周期函数耗时不算什么,拆分的意义不很大

所以,render/reconciliation 阶段的工作(diff)可以拆分,commit 阶段的工作(patch)不可拆分

P.S.diff 与 reconciliation 只是对应关系,并不等价,如果非要区分的话,reconciliation 包括 diff:

This is a part of the process that React calls reconciliation which starts when you call ReactDOM.render() or setState(). By the end of the reconciliation, React knows the result DOM tree, and a renderer like react-dom or react-native applies the minimal set of changes necessary to update the DOM nodes (or the platform-specific views in case of React Native).

(引自 Top-Down Reconciliation

2. 怎么拆?

先凭空乱来几种 diff 工作拆分方案:

  • 按组件结构拆。不好分,无法预估各组件更新的工作量
  • 按实际工序拆。比如分为 getNextState(), shouldUpdate(), updateState(), checkChildren()再穿插一些生命周期函数

按组件拆太粗,显然对大组件不太公平。按工序拆太细,任务太多,频繁调度不划算。那么有没有合适的拆分单位?

有。Fiber 的拆分单位是 fiber(fiber tree 上的一个节点),实际上就是按虚拟 DOM 节点拆,因为 fiber tree 是根据 vDOM tree 构造出来的,树结构一模一样,只是节点携带的信息有差异

所以,实际上是 vDOM node 粒度的拆分(以 fiber 为工作单元),每个组件实例和每个 DOM 节点抽象表示的实例都是一个工作单元。工作循环中,每次处理一个 fiber,处理完可以中断/挂起整个工作循环

3. 如何调度任务?

分 2 部分:

  • 工作循环
  • 优先级机制

工作循环是基本的任务调度机制,工作循环中每次处理一个任务(工作单元),处理完毕有一次喘息的机会:

// Flush asynchronous work until the deadline runs out of time.
while (nextUnitOfWork !== null && !shouldYield()) {
  nextUnitOfWork = performUnitOfWork(nextUnitOfWork);
}

shouldYield 就是看时间用完了没(idleDeadline.timeRemaining()),没用完的话继续处理下一个任务,用完了就结束,把时间控制权还给主线程,等下一次 requestIdleCallback 回调再接着做:

// If there's work left over, schedule a new callback.
if (nextFlushedExpirationTime !== NoWork) {
  scheduleCallbackWithExpiration(nextFlushedExpirationTime);
}

也就是说,(不考虑突发事件的)正常调度是由工作循环来完成的,基本规则是:每个工作单元结束检查是否还有时间做下一个,没时间了就先“挂起”

优先级机制用来处理突发事件与优化次序,例如:

  • 到 commit 阶段了,提高优先级
  • 高优任务做一半出错了,给降一下优先级
  • 抽空关注一下低优任务,别给饿死了
  • 如果对应 DOM 节点此刻不可见,给降到最低优先级

这些策略用来动态调整任务调度,是工作循环的辅助机制,最先做最重要的事情

4. 如何中断/断点恢复?

中断:检查当前正在处理的工作单元,保存当前成果(firstEffectlastEffect),修改 tag 标记一下,迅速收尾并再开一个 requestIdleCallback,下次有机会再做

断点恢复:下次再处理到该工作单元时,看 tag 是被打断的任务,接着做未完成的部分或者重做

P.S.无论是时间用尽“自然”中断,还是被高优任务粗暴打断,对中断机制来说都一样

5. 如何收集任务结果?

Fiber reconciliation 的工作循环具体如下:

  1. 找到根节点优先级最高的 workInProgress tree,取其待处理的节点(代表组件或 DOM 节点)
  2. 检查当前节点是否需要更新,不需要的话,直接到 4
  3. 标记一下(打个 tag),更新自己(组件更新 props,context 等,DOM 节点记下 DOM change),并为孩子生成 workInProgress node
  4. 如果没有产生子节点,归并 effect list(包含 DOM change)到父级
  5. 把孩子或兄弟作为待处理节点,准备进入下一个工作循环。如果没有待处理节点(回到了 workInProgress tree 的根节点),工作循环结束

通过每个节点更新结束时 向上归并 effect list 来收集任务结果,reconciliation 结束后,根节点的 effect list 里记录了包括 DOM change 在内的所有 side effect

举一反三

既然任务可拆分(只要最终得到完整 effect list 就行),那就允许 并行执行(多个 Fiber reconciler + 多个 worker),首屏也更容易分块加载/渲染(vDOM 森林)

并行渲染的话,据说 Firefox 测试结果显示,130ms 的页面,只需要 30ms 就能搞定,所以在这方面是值得期待的,而 React 已经做好准备了,这也就是在 React Fiber 上下文经常听到的待 unlock 的更多特性之一

八. 源码简析

从 15 到 16,源码结构发生了很大变化:

fiber tree 来张图感受一下:

image.png

image.png

其实稍一细想,从 Stack reconciler 到 Fiber reconciler,源码层面就是干了一件递归改循环的事情(当然,实际做的事情远不止递归改循环,但这是第一步)

总之,源码变化很大,如果对 Fiber 思路没有预先了解的话,看源码会比较艰难(看过 React[15-]的源码的话,就更容易迷惑了)

P.S.这张清明流程图要正式退役了

参考资料

Lin Clark – A Cartoon Intro to Fiber – React Conf 2017:5 星推荐,声音很好听,比 Jing Chen 好 100 倍

acdlite/react-fiber-architecture

Codebase Overview

A look inside React Fiber – how work will get done.:Fiber 源码解读,小说体看着有点费劲 原文链接