重塑锂电池性能边界,武汉理工大学康健强团队,基于集成学习提出简化电化学模型

237 阅读12分钟

2022 年 7 月,不老男神林志颖突发车祸,作为专业赛车手的他驾驶的特斯拉 Model X 在行驶过程中忽然偏离既定轨迹,一头撞向路边的隔离带,随后车辆起火,并在救援车拖吊过程中二次起火,最终整辆车被烧到只剩下了车架。此事故一经报道,再度引发人们对于「新能源汽车碰撞起火」的高度关注。

特斯拉失火现场

据了解,特斯拉汽车的电池大多采用锂离子电池, 具有高能量密度、高功率密度、循环周期较长及记忆效应较小等优势,近年来在电动汽车领域得到广泛应用。但锂电池的爆炸威力如同一个小型炸药包,未经控制的电池热失控后会产生爆炸失火,又因为锂离子着火后会产生助燃气体如氧气,这会导致后续的二次燃烧和反复燃烧,一旦起火很难被扑灭。因此,如何确保锂电池的安全运行是电动汽车领域必须要解决的一个难题。

电化学电池模型基于电池内部的化学机理,可以对锂离子的迁移过程进行有效建模,并通过预测电压等数据,从而判断电池的临界状态,保证嵌入式系统对电池内部状态的实时监测,避免因电池过充放电、老化、内阻增加等引发的突然热失控,维持电池的安全运行。然而,传统电化学模型的参数繁多、计算复杂,这限制了其在实际电池管理系统的广泛应用。

对此,武汉理工大学康健强团队提出了一种集成学习 + FIE 的简化电化学模型模型, 其中集成学习模型基于机器学习,集成了离散时间实现算法 (Discrete-time realization algorithm, DRA)、分数阶帕德逼近 (Fractional-order Pade´ approximation, FOM) 、三参数抛物线近似 (Three-parameterparabolic approximation, TPM) ,通过简化锂离子在电极颗粒中 (electrode particles) 的迁移过程,可以对电极颗粒表面锂离子浓度变化进行精确预测。

在恒定电流和动态条件下,研究人员提出的 ELM 比单个 DRA、FOM、TPM 模型实现更准确的电压预测,其计算复杂度也远远低于准二维模型 (Pseudo-2D, P2D)。

此外,研究人员还采用了一阶惯性元件(first-order inertial element, FIE) 简化锂离子在电极液中的迁移,精准预测了正负极集流体 (current collector) 附近电解质中的锂离子浓度。

研究亮点:

  • 提出了一种集成学习 + FIE 的简化电化学模型模型,集成学习集成 DRA、FOM 和 TPM,0.1676s 即可完成 3,500s 的 1C 恒流放电
  • 为实现未来智能化的电池管理系统 (BMS) 提供有力技术支持

论文地址:
www.cell.com/iscience/pd…00907-6.pdf

三大实验假设,简化电池复杂结构

为了加快电化学模型的计算速度,简化传统电化学模型的结构,研究人员提出了一种简化的锂离子电池电化学模型(单粒子模型),并对其做出了基本假设。

单粒子模型的结构 I为电流;e-为电子;Li为电极厚度;Rs,i是电极颗粒的半径;i=n、p分别为负极和正极

假设一: 将电池电极视为单个球形粒子,并且同一半径距离球心的位置的电势相等;
假设二: 固相扩散仅考虑径向;
假设三: 锂离子孔壁通量(Ji)在电极颗粒中是均匀的。

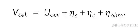
Vcell 为电池端电压;Uocv 为开路电压;η为过电势;Rohm 为总欧姆电阻;I 为电流;⍬ave为平均固相化学计量 (solid phase stoichiometry)

在单粒子模型中,电池端电压被认为只和开路电压和反应过电势有关,这让模型的计算量大大降低。

集成学习+FIE,预测固相电极、电解质中的锂离子浓度

研究人员提出了一种集成学习 + FIE 的模型, 其中集成学习可用来预测正负极固相颗粒 (particles) 中锂离子浓度,FIE 可用于预测电解质相中锂离子浓度。

基于集成学习的simplified electrochemical model结构 蓝色虚框为锂离子在固相颗粒中的迁移;红色虚框为锂离子在电解质中的迁

集成学习:集成三大模型,预测固相电极锂离子浓度更准确

集成学习 (Ensemble Learning Model, ELM) 作为一种典型的机器学习技术,可以通过结合多个模型,实现比任何单独模型更好的预测性能。 在以前的文献中,离散时间实现算法 (Discrete-time realization algorithm, DRA)、分数阶帕德逼近 (Fractional-order Pade´ approximation, FOM) 、三参数抛物线近似 (Three-parameterparabolic approximation, TPM) 在预测电极颗粒表面锂离子浓度方面已经表现出一定的准确性。

为进一步提高电极颗粒中锂离子浓度的预测准确性,研究人员采用加权平均法对 DRA、FOM 和 TPM 进行集成,提出了 ELM 模型,其输出方程如下:

*ELM 的输出方程;k1、k2 是集成学习模型的加权系数

实验一:预测负极固相电极颗粒表面的锂离子浓度

以 P2D 模型作为基准对照组,比较 DRA, FOM, TPM, ELM, P2D 这 5 种不同模型预测负极颗粒表面的锂离子浓度变化。

DRA, FOM, TPM, ELM, P2D 模型的△cs,n~surf比较 △cs,n~surf为负极颗粒表面的锂离子浓度变化

可以看出, ELM 的曲线更接近 P2D 模型曲线,即 ELM 实现了最佳预测精度。

DRA、FOM、TPM、ELM 的△cs,n~surf误差分析

损失函数被定义为 ELM 模型的输出与颗粒表面真实值 △cs,n~surf之间的均方根误差 (RMSE)。可以看出,ELM 有最低的 RMSE,仅为 11.51 mol/ m3。

实验二:预测正极固相电极颗粒表面的锂离子浓度

以 P2D 模型作为基准对照组,比较 DRA, FOM, TPM, ELM, P2D 这 5 种不同模型预测正极颗粒表面的锂离子浓度变化。

DRA、FOM、TPM、P2D、ELM 的 △cs,p~surf△cs,p~surf为正极颗粒表面的锂离子浓度变化

可以看出,ELM 的曲线更接近 P2D 模型的曲线, 显示出了最好的 △cs,p~surf 预测性能。

DRA、FOM、TPM、ELM 的 △cs,p~surf 误差分析

从上表可以看出,ELM 的预测误差最小,RMSE 仅为 0.6 mol/m3,MAPE 仅为 1.66%。

FIE:预测电解质相中锂离子浓度更准确

由于正负极集流体 (current collector) 附近电解质中的锂离子浓度直接影响电池电压,进而影响电池状态。因此,研究人员提出 FIE 来拟合正负极集流体附近的电解质中锂离子浓度变化, 并以 P2D 模型作为基准对照组,将其与 FIE 预测正负极电解质相中锂离子浓度的变化作对比。

实验一:预测负极集流体附近电解质中的锂离子浓度变化

FIE 与 P2D 模型预测的△ce,n比较 △ce,n为负极集流体附近电解质中的锂离子浓度变化

上图表明,两者的曲线接近,在 P2D 模型中,由于锂离子在电极颗粒表面上沿着电极厚度方向做不均匀流动,△ce,n 曲线在弛豫时间后出现波动。而研究人员之前假设了在电极颗粒表面上的锂离子通量在恒定电流下是恒定的。因此,△ce,n 在弛豫时间后仍然保持恒定。

*弛豫时间是电池恢复能力的量度, 表征了电池从极化状态恢复到平衡态的能力。

实验二:预测正极集流体附近电解质中的锂离子浓度变化

FIE 与 P2D 模型预测的 △ce,p 比较 △ce,p 为正极集流体附近电解质中的锂离子浓度变化

如上图所示,在 P2D 模型中,由于正极颗粒表面的锂离子通量比负极颗粒表面的锂离子通量分布更不均匀,因此 △ce,p 的波动的幅度大于 △ce,n 的波动幅度。与 P2D 模型相比,FIE 实现了准确的 △ce,p 预测,RMSE 为 39.136 mol/m3。

综上,研究人提出的集成学习可以对固相电极的锂离子浓度进行精准预测,预测能力优于单个模型。FIE 模型也可以对电解质相的锂离子浓度进行精准预测。

集成学习预测电压更准确

实验一:不同模型预测电压对比

研究人员对 LiMn2O4/Carbon 电池分别进行了 0.5C、1C 和 2C 倍率恒流放电模拟,并将 ELM 与 DRA、FOM、TPM 和 P2D 这 5 个模型预测电压的结果和误差进行了比较。

不同倍率恒流放电模拟下,DRA、FOM、TPM、P2D 和 ELM 预测的电压比较

据上图,在 0.5C 倍率放电下,DRA、FOM、TPM、P2D 模型的电压曲线都非常接近 P2D 模型,在 1C 和 2C 放电倍率下,ELM 电压曲线更接近 P2D 电压曲线。

DRN、FOM、TPM、ELM 的电压误差分析

如上表,ELM 模型的 RMSE、MAPE 最小,电压误差最低。随着放电率的增加,这 4 种的电压误差均增加。综上表明,所提出的 ELM 在较宽的电流范围实现了更好的电压预测。

实验二:不同模型计算复杂度对比

DRA、FOM、TPM、ELM 和 P2D 的计算时间

研究人员进行了 1C 速率恒定电流的放电模拟,比较了不同模型的计算时间。由于 DRA、FOM 都只有 2 个二阶状态空间方程,因此计算速度更快。FOM 稍慢,ELM 仅需 0.1676s 即可完成 3,500s 的 1C 恒流放电,P2D 模型的计算速度比其他模型慢得多。
放电测试是评估电池性能的重要手段。

实验三:验证 ELM 模型在动态工况下的有效性

FUDS动态模拟 (A) 一个周期FUDS电流;(B) DRA、FOM、TPM、ELM和P2D模型电池电压

为验证 ELM 模型在动态工况下的有效性,研究人员对不同模型进行了 FUDS 动态模拟。结果表明,由于 FUDS 动态中大部分时间内电流变化率较小,因此 DRA、FOM、TPM 和 ELM 的电压曲线都接近 P2D 模型。

不同模型在 FUDS 动态模拟下的电压误差

如上表所示,ELM 在这些模型中实现了最准确的电压预测, 仅有 4.48 mV 的 RMSE 和 0.097% 的 MAPE。

AI 担保,绿色转型下的锂电池安全

在「碳中和、碳达峰」的大趋势下,各国开始重视能源体系变革,各行各业积极向低碳、可持续发展方向转型,锂电池作为环保电池的首选,被广泛应用于储能电源系统、电动自行车、电动汽车、军事装备、航空航天等多个领域。

虽然锂电池因有高能量密度、长寿命等优点而被广泛选择,但若使用不当或存在质量问题,也会严重威胁到公众的生命安全。比如,2023 年 6 月,美国纽约市曼哈顿唐人街一家电动车店发生火灾,造成 4 人死亡、3 人受伤,其背后原因就是锂电池充电时的热失控爆炸而引起,关注锂电池的安全刻不容缓。

此外,锂电池的性能衰退受环境温度、充放电条件等多种因素的影响,传统的物理模型基于有限的电化学规律,很难对电池内部状态作出有效评估。在此背景下,AI 技术凭借其强大的数据处理、特征提取等能力脱颖而出,国内也早已有人对 AI+ 锂电池安全展开相关研究。

新中能源总裁林福成和南大阮雄廷教授通过实时监测电池状态,预测电池何时需更换 图源:联合早报

2023 年,南京大学和锂电池制造商新中能源 (Durapower) 研发了一个有助加强锂电池安全、延长其使用寿命的火患和爆炸管理系统 (Fire& Explosion Management System,简称 FXMS)。该系统采用数字孪生 (digital twin) 技术,通过复制现实中的电池,利用虚拟模型监测电池的性能,可预测电池未来五年的状态,帮助工作人员判断何时需要更换电池,其预测准确率高达 95%。

数字孪生的主要功能是通过收集现实世界里的实时数据,利用机器学习和分析技术进行数据处理,模拟和预测物体在现实世界中可能产生的反应和情况,进而研究其性能。

2024 年 3 月,上海交通大学溥渊未来技术学院万佳雨副教授团队提出了一种名为部分贝叶斯协同训练 (partial Bayesian co-training, PBCT) 的半监督学习技术,充分利用锂电池全生命周期中产生的低成本且丰富的无标签数据,通过提取其中的隐藏信息,深化对底层数据模式的认识,与现有的方法相比,PBCT 在寿命预测精度上取得了高达 20% 的提升, 且几乎无需额外的数据采集成本。(点击查看详情:锂电池寿命预测精度提升 20%!上海交大团队发布半监督学习方法 PBCT,提取无标签数据中的隐藏信息)

从数字孪生到半监督学习,技术的进步催生更多创新解决方案,也为未来能源领域的发展带来新的可能性。

参考资料:
www.zaobao.com/news/singap…
m.163.com/dy/article/…